🇳🇴 🇬🇧 🇩🇪 🇨🇿 🇫🇮

Meteor Løsningin yllä 2020-08-18 00:23:24 UTC

KML-tiedosto  |  Interaktiivinen kartta

Kartta näyttää meteorin suuntahavainnot. Vaaleammat viivat näyttävät suunnat havaintoasemilta meteorin ilmestyessä, ja tummemmat viivat näyttävät, missä se viimeksi nähtiin. Sininen nuoli näyttää meteorin näkyvän lennon.

static map
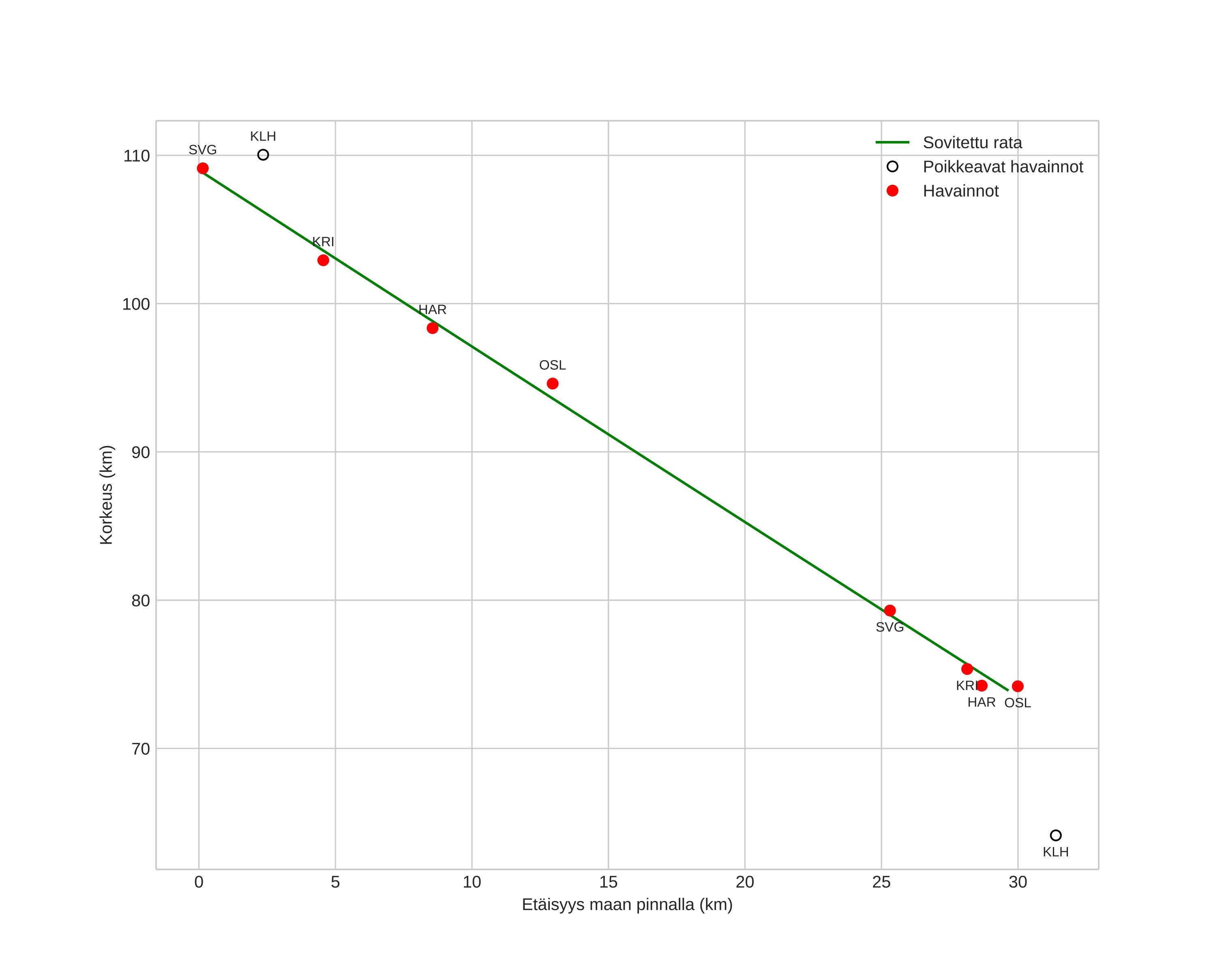
height profile
Meteorin ilmakehärata:
Alkukorkeus: 104,9 km
Loppukorkeus: 76,8 km
Alkupiste: 55,937N 10,030E
Loppupiste: 55,799N 9,735E
Suunta: 230,3°
Kallistuskulma: 49,6°
Tulonopeus: 59,9 km/s
Radiantin R,A,: 04:12 (63,1°)
Radiantin Dekl,: 59,5°
Meteoriparvi: Perseidit
Meteoroidin rataelementit:
Perihelietäisyys: 0,893 AU
Eksentrisyys: 0,947
Inklinaatio: 112,5°
Nousevan solmun pituus: 145,3°
Perihelin argumentti: 139,3°
Keskianomalia: 0,4°
Epookki: 2020 AUG 18 00:23:24
orbit plot

Ei-interaktiivinen kuvaaja | Interaktiivinen kuvaaja

position vs time
speed and acceleration