🇳🇴 🇬🇧 🇩🇪 🇨🇿 🇫🇮

Meteor, poloha: Kolt 2020-08-18 00:49:30 UTC

Soubor KML  |  InteraktivnĂ­ mapa

Mapa zobrazuje dráhy meteoru. Světlejší čáry ukazují směry od pozorovacích stanic při objevení se meteoru a tmavší čáry, kde byl naposledy viděn. Modrá šipka značí viditelnou dráhu meteoru.

static map
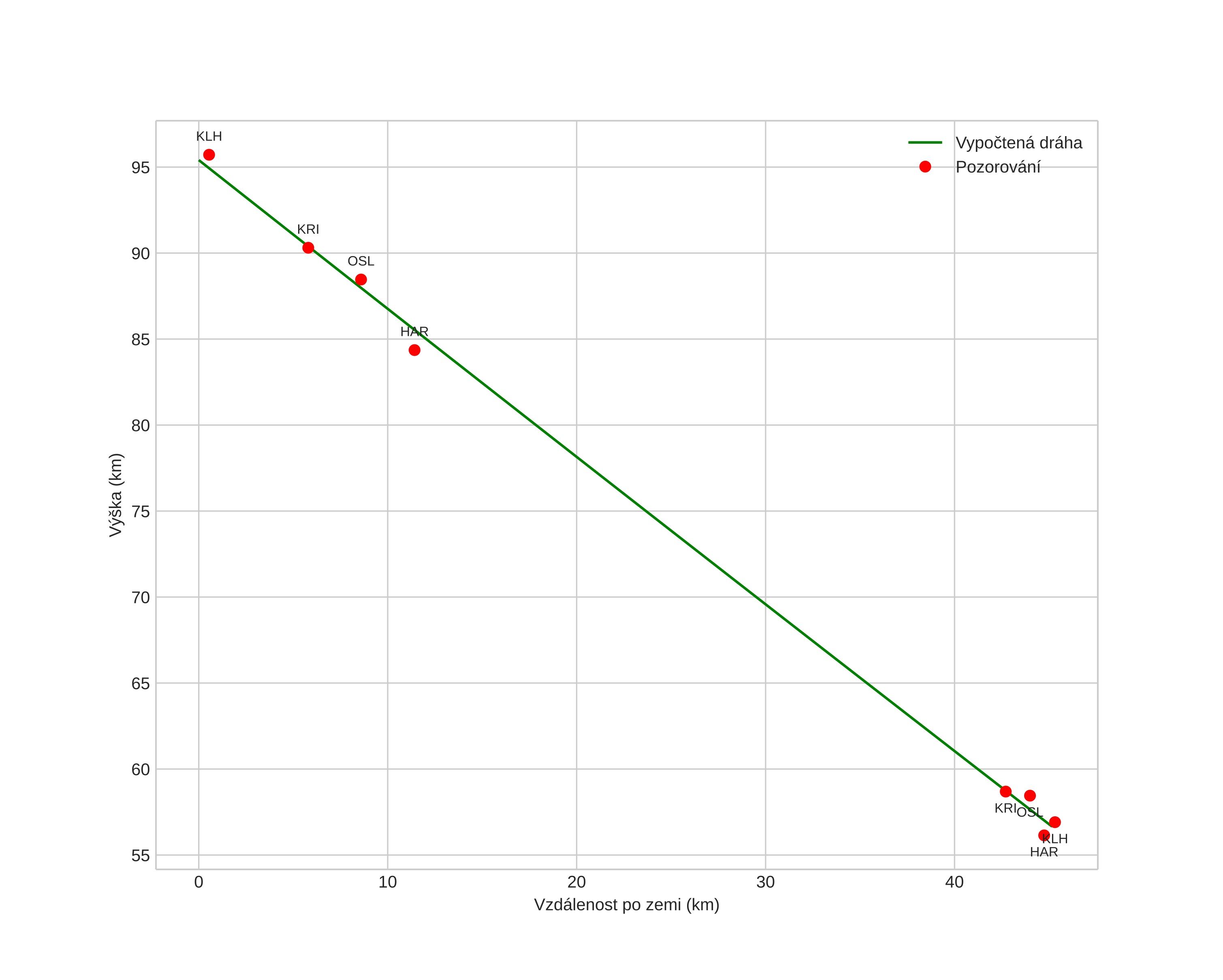
height profile
Atmosférická dráha meteoru:
Počáteční výška: 95,2 km
Konečná výška: 56,1 km
Počáteční poloha: 56,409N 9,584E
Konečná poloha: 56,112N 10,067E
Směr: 137,7°
Sklon: 41,3°
VstupnĂ­ rychlost: 20,7 km/s
Rektascenze radiantu: 16:10 (242,6°)
Deklinace radiantu: 55,3°
MeteorickĂ˝ roj: sporadickĂ˝
Elementy dráhy meteoroidu:
Vzdálenost v periheliu: 1,008 AU
Excentricita: 0,650
Sklon dráhy: 26,3°
Délka vzestupného uzlu: 145,3°
Argument perihelia: 172,0°
Střední anomálie: 1,3°
Epocha: 2020 AUG 18 00:49:30
orbit plot

NeinteraktivnĂ­ graf | InteraktivnĂ­ graf

position vs time
speed and acceleration