🇳🇴 🇬🇧 🇩🇪 🇨🇿 🇫🇮

Meteor Koltin yllä 2020-08-18 00:49:30 UTC

KML-tiedosto  |  Interaktiivinen kartta

Kartta näyttää meteorin suuntahavainnot. Vaaleammat viivat näyttävät suunnat havaintoasemilta meteorin ilmestyessä, ja tummemmat viivat näyttävät, missä se viimeksi nähtiin. Sininen nuoli näyttää meteorin näkyvän lennon.

static map
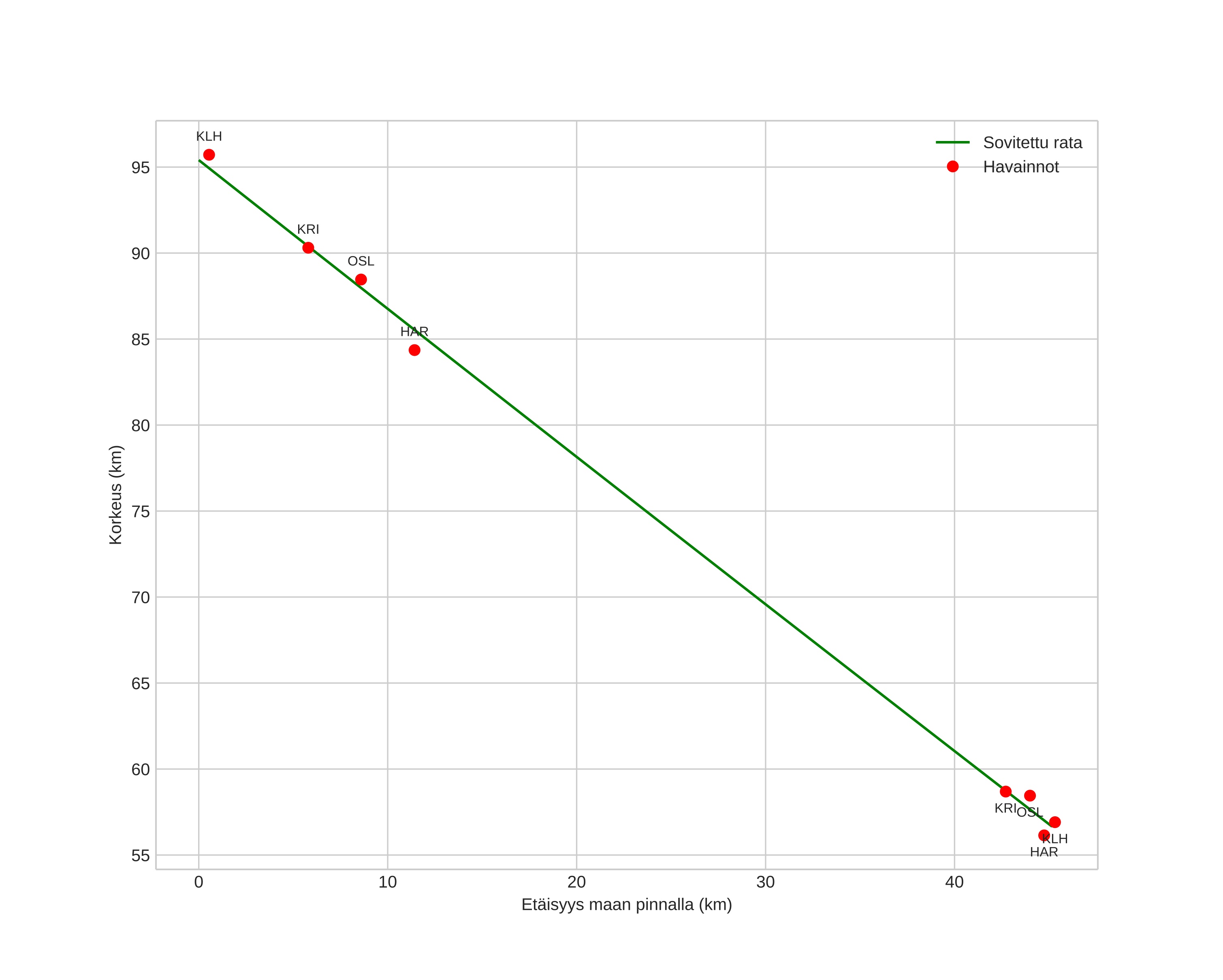
height profile
Meteorin ilmakehärata:
Alkukorkeus: 95,2 km
Loppukorkeus: 56,1 km
Alkupiste: 56,409N 9,584E
Loppupiste: 56,112N 10,067E
Suunta: 137,7°
Kallistuskulma: 41,3°
Tulonopeus: 20,7 km/s
Radiantin R,A,: 16:10 (242,6°)
Radiantin Dekl,: 55,3°
Meteoriparvi: Sporadinen
Meteoroidin rataelementit:
Perihelietäisyys: 1,008 AU
Eksentrisyys: 0,650
Inklinaatio: 26,3°
Nousevan solmun pituus: 145,3°
Perihelin argumentti: 172,0°
Keskianomalia: 1,3°
Epookki: 2020 AUG 18 00:49:30
orbit plot

Ei-interaktiivinen kuvaaja | Interaktiivinen kuvaaja

position vs time
speed and acceleration