🇳🇴 🇬🇧 🇩🇪 🇨🇿 🇫🇮

Meteor, poloha: Årjäng 2020-08-22 21:50:12 UTC

Soubor KML  |  InteraktivnĂ­ mapa

Mapa zobrazuje dráhy meteoru. Světlejší čáry ukazují směry od pozorovacích stanic při objevení se meteoru a tmavší čáry, kde byl naposledy viděn. Modrá šipka značí viditelnou dráhu meteoru.

static map
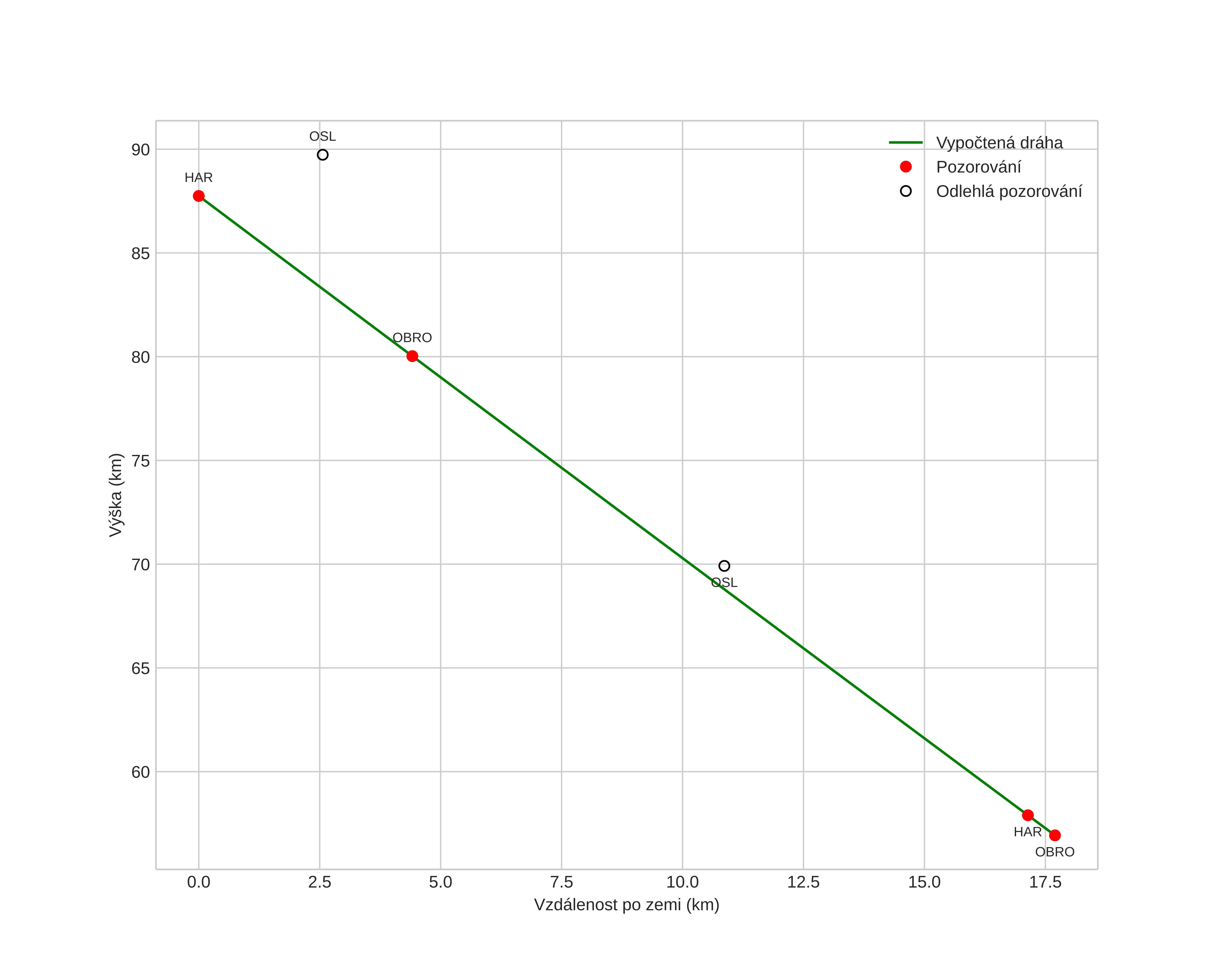
height profile
Atmosférická dráha meteoru:
Počáteční výška: 90,5 km
Konečná výška: 57,4 km
Počáteční poloha: 59,447N 12,014E
Konečná poloha: 59,334N 12,243E
Směr: 134,0°
Sklon: 61,4°
VstupnĂ­ rychlost: 26,2 km/s
Rektascenze radiantu: 16:09 (242,3°)
Deklinace radiantu: 66,8°
MeteorickĂ˝ roj: sporadickĂ˝
Elementy dráhy meteoroidu:
Vzdálenost v periheliu: 0,999 AU
Excentricita: 0,723
Sklon dráhy: 37,4°
Délka vzestupného uzlu: 150,0°
Argument perihelia: 166,0°
Střední anomálie: 1,6°
Epocha: 2020 AUG 22 21:50:12
orbit plot

NeinteraktivnĂ­ graf | InteraktivnĂ­ graf

position vs time
speed and acceleration