🇳🇴 🇬🇧 🇩🇪 🇨🇿 🇫🇮

Meteor Årjängin yllä 2020-08-22 21:50:12 UTC

KML-tiedosto  |  Interaktiivinen kartta

Kartta näyttää meteorin suuntahavainnot. Vaaleammat viivat näyttävät suunnat havaintoasemilta meteorin ilmestyessä, ja tummemmat viivat näyttävät, missä se viimeksi nähtiin. Sininen nuoli näyttää meteorin näkyvän lennon.

static map
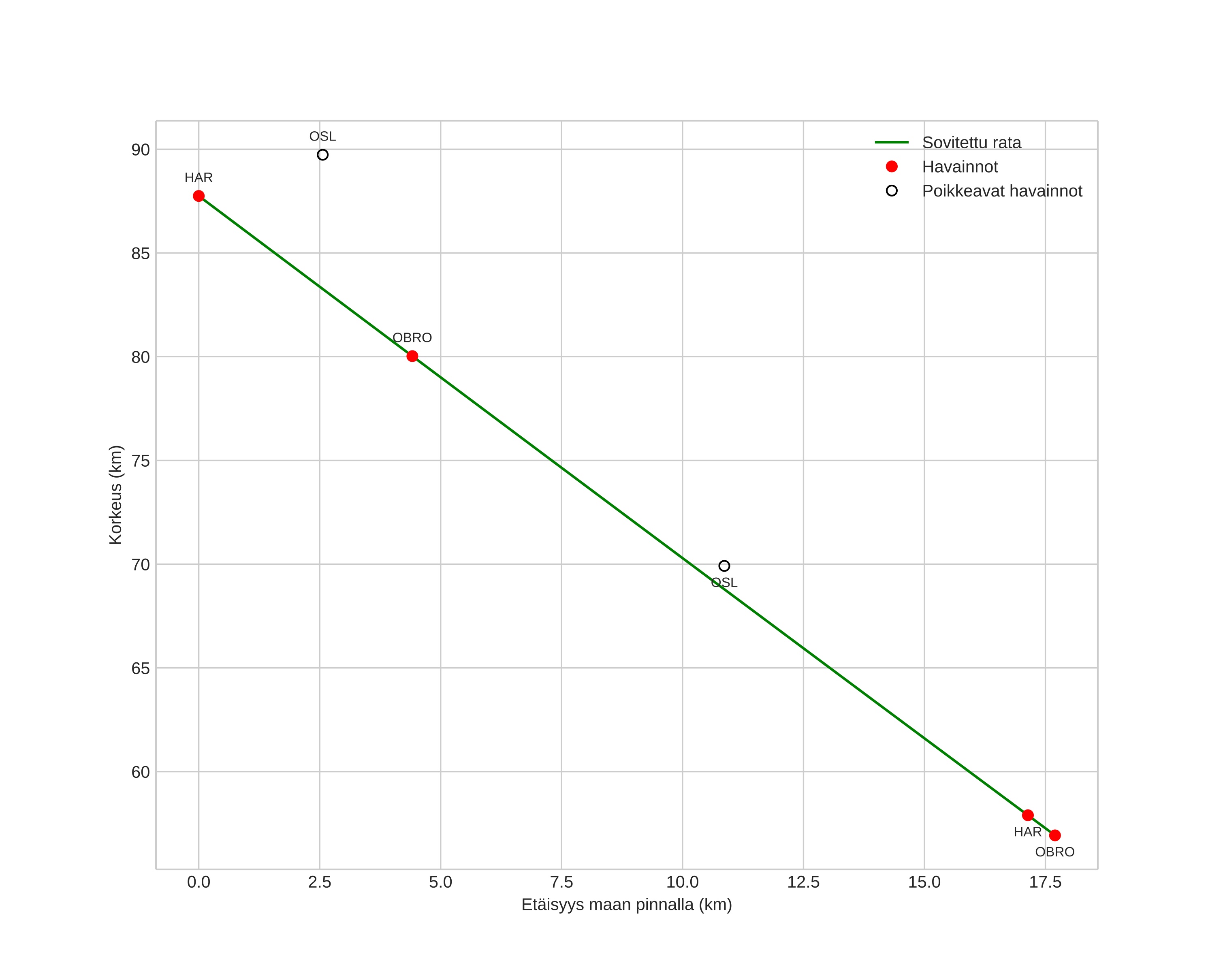
height profile
Meteorin ilmakehärata:
Alkukorkeus: 90,5 km
Loppukorkeus: 57,4 km
Alkupiste: 59,447N 12,014E
Loppupiste: 59,334N 12,243E
Suunta: 134,0°
Kallistuskulma: 61,4°
Tulonopeus: 26,2 km/s
Radiantin R,A,: 16:09 (242,3°)
Radiantin Dekl,: 66,8°
Meteoriparvi: Sporadinen
Meteoroidin rataelementit:
Perihelietäisyys: 0,999 AU
Eksentrisyys: 0,723
Inklinaatio: 37,4°
Nousevan solmun pituus: 150,0°
Perihelin argumentti: 166,0°
Keskianomalia: 1,6°
Epookki: 2020 AUG 22 21:50:12
orbit plot

Ei-interaktiivinen kuvaaja | Interaktiivinen kuvaaja

position vs time
speed and acceleration