🇳🇴 🇬🇧 🇩🇪 🇨🇿 🇫🇮

Meteor, poloha: Slottsbron 2020-08-23 21:48:26 UTC

Soubor KML  |  InteraktivnĂ­ mapa

Mapa zobrazuje dráhy meteoru. Světlejší čáry ukazují směry od pozorovacích stanic při objevení se meteoru a tmavší čáry, kde byl naposledy viděn. Modrá šipka značí viditelnou dráhu meteoru.

static map
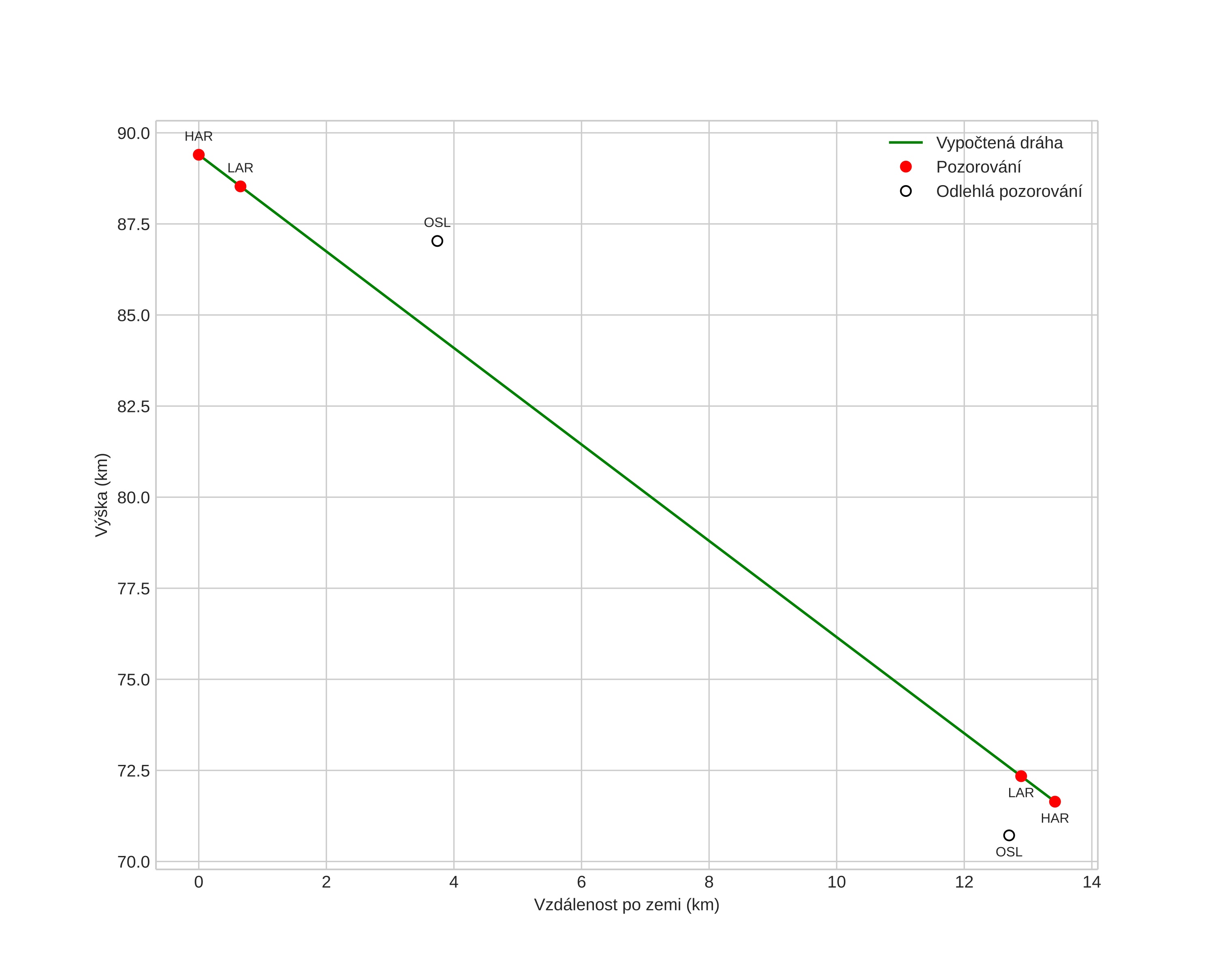
height profile
Atmosférická dráha meteoru:
Počáteční výška: 91,0 km
Konečná výška: 71,3 km
Počáteční poloha: 59,411N 12,616E
Konečná poloha: 59,405N 12,858E
Směr: 92,9°
Sklon: 55,1°
VstupnĂ­ rychlost: 19,2 km/s
Rektascenze radiantu: 16:50 (252,6°)
Deklinace radiantu: 43,1°
MeteorickĂ˝ roj: sporadickĂ˝
Elementy dráhy meteoroidu:
Vzdálenost v periheliu: 1,011 AU
Excentricita: 0,728
Sklon dráhy: 21,5°
Délka vzestupného uzlu: 150,9°
Argument perihelia: 180,6°
Střední anomálie: 359,9°
Epocha: 2020 AUG 23 21:48:26
orbit plot

NeinteraktivnĂ­ graf | InteraktivnĂ­ graf

position vs time
speed and acceleration