🇳🇴 🇬🇧 🇩🇪 🇨🇿 🇫🇮

Meteor Slottsbronin yllä 2020-08-23 21:48:26 UTC

KML-tiedosto  |  Interaktiivinen kartta

Kartta näyttää meteorin suuntahavainnot. Vaaleammat viivat näyttävät suunnat havaintoasemilta meteorin ilmestyessä, ja tummemmat viivat näyttävät, missä se viimeksi nähtiin. Sininen nuoli näyttää meteorin näkyvän lennon.

static map
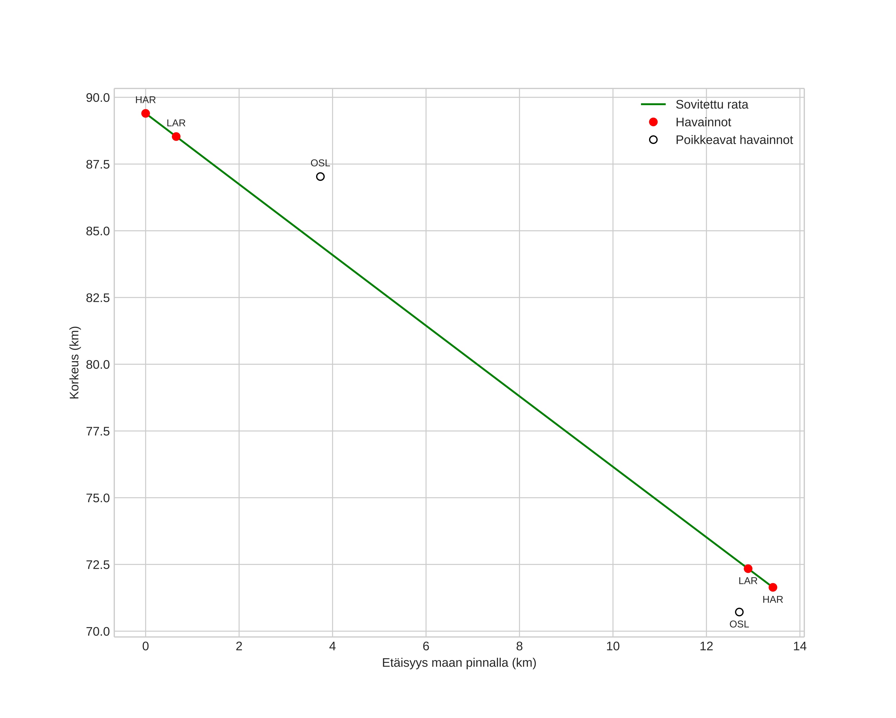
height profile
Meteorin ilmakehärata:
Alkukorkeus: 91,0 km
Loppukorkeus: 71,3 km
Alkupiste: 59,411N 12,616E
Loppupiste: 59,405N 12,858E
Suunta: 92,9°
Kallistuskulma: 55,1°
Tulonopeus: 19,2 km/s
Radiantin R,A,: 16:50 (252,6°)
Radiantin Dekl,: 43,1°
Meteoriparvi: Sporadinen
Meteoroidin rataelementit:
Perihelietäisyys: 1,011 AU
Eksentrisyys: 0,728
Inklinaatio: 21,5°
Nousevan solmun pituus: 150,9°
Perihelin argumentti: 180,6°
Keskianomalia: 359,9°
Epookki: 2020 AUG 23 21:48:26
orbit plot

Ei-interaktiivinen kuvaaja | Interaktiivinen kuvaaja

position vs time
speed and acceleration