🇳🇴 🇬🇧 🇩🇪 🇨🇿 🇫🇮

Meteor, poloha: Gaupne 2020-08-26 22:37:13 UTC

Soubor KML  |  InteraktivnĂ­ mapa

Mapa zobrazuje dráhy meteoru. Světlejší čáry ukazují směry od pozorovacích stanic při objevení se meteoru a tmavší čáry, kde byl naposledy viděn. Modrá šipka značí viditelnou dráhu meteoru.

static map
height profile
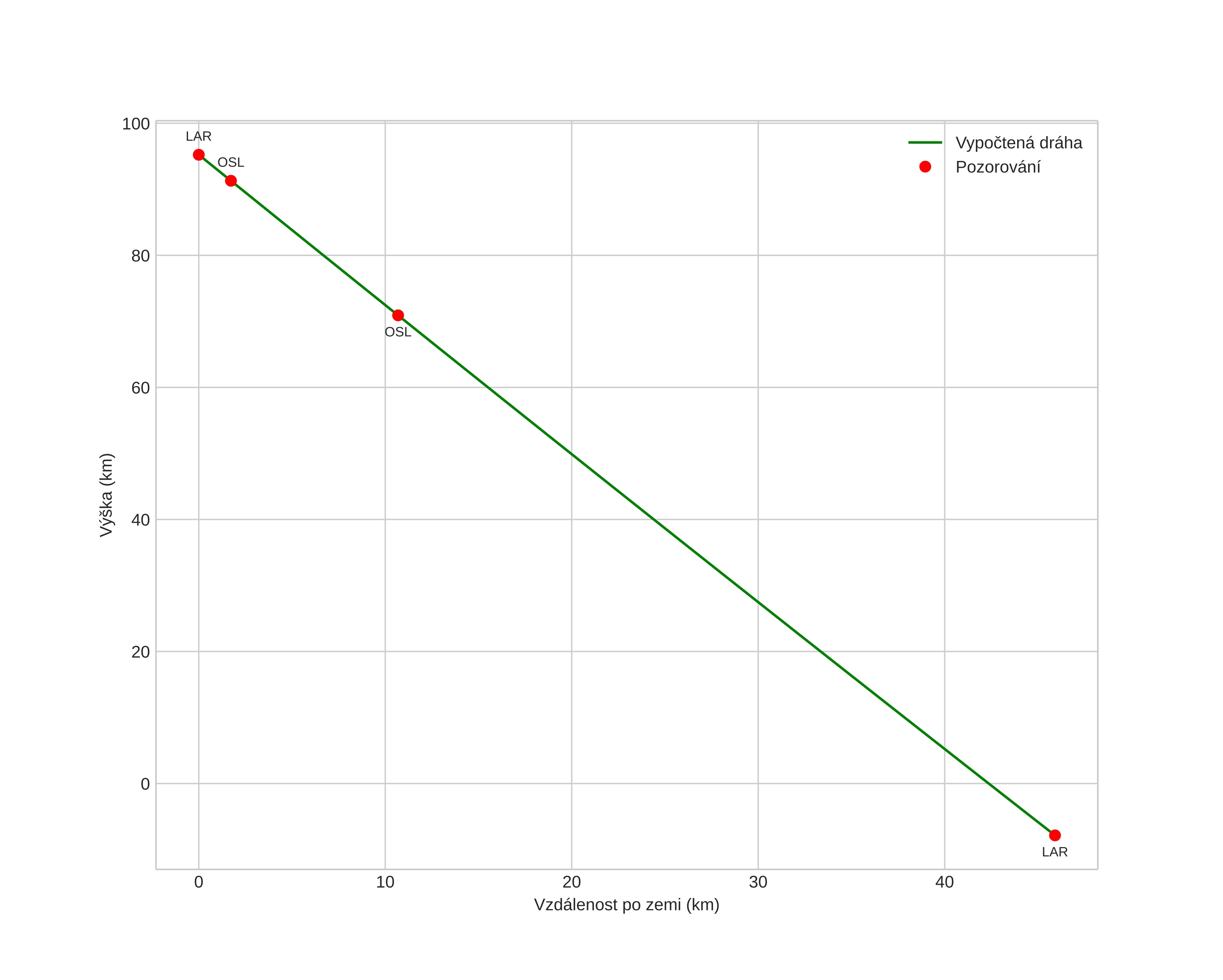
Atmosférická dráha meteoru:
Počáteční výška: 91,8 km
Konečná výška: 57,7 km
Počáteční poloha: 61,677N 7,286E
Konečná poloha: 61,547N 7,368E
Směr: 163,3°
Sklon: 66,0°
VstupnĂ­ rychlost: 35,5 km/s
Rektascenze radiantu: 17:43 (265,9°)
Deklinace radiantu: 81,4°
MeteorickĂ˝ roj: sporadickĂ˝
Elementy dráhy meteoroidu:
Vzdálenost v periheliu: 1,000 AU
Excentricita: 0,779
Sklon dráhy: 56,2°
Délka vzestupného uzlu: 153,9°
Argument perihelia: 167,6°
Střední anomálie: 1,0°
Epocha: 2020 AUG 26 22:37:13
orbit plot

NeinteraktivnĂ­ graf | InteraktivnĂ­ graf

position vs time
speed and acceleration