🇳🇴 🇬🇧 🇩🇪 🇨🇿 🇫🇮

Meteor Gaupnen yllä 2020-08-26 22:37:13 UTC

KML-tiedosto  |  Interaktiivinen kartta

Kartta näyttää meteorin suuntahavainnot. Vaaleammat viivat näyttävät suunnat havaintoasemilta meteorin ilmestyessä, ja tummemmat viivat näyttävät, missä se viimeksi nähtiin. Sininen nuoli näyttää meteorin näkyvän lennon.

static map
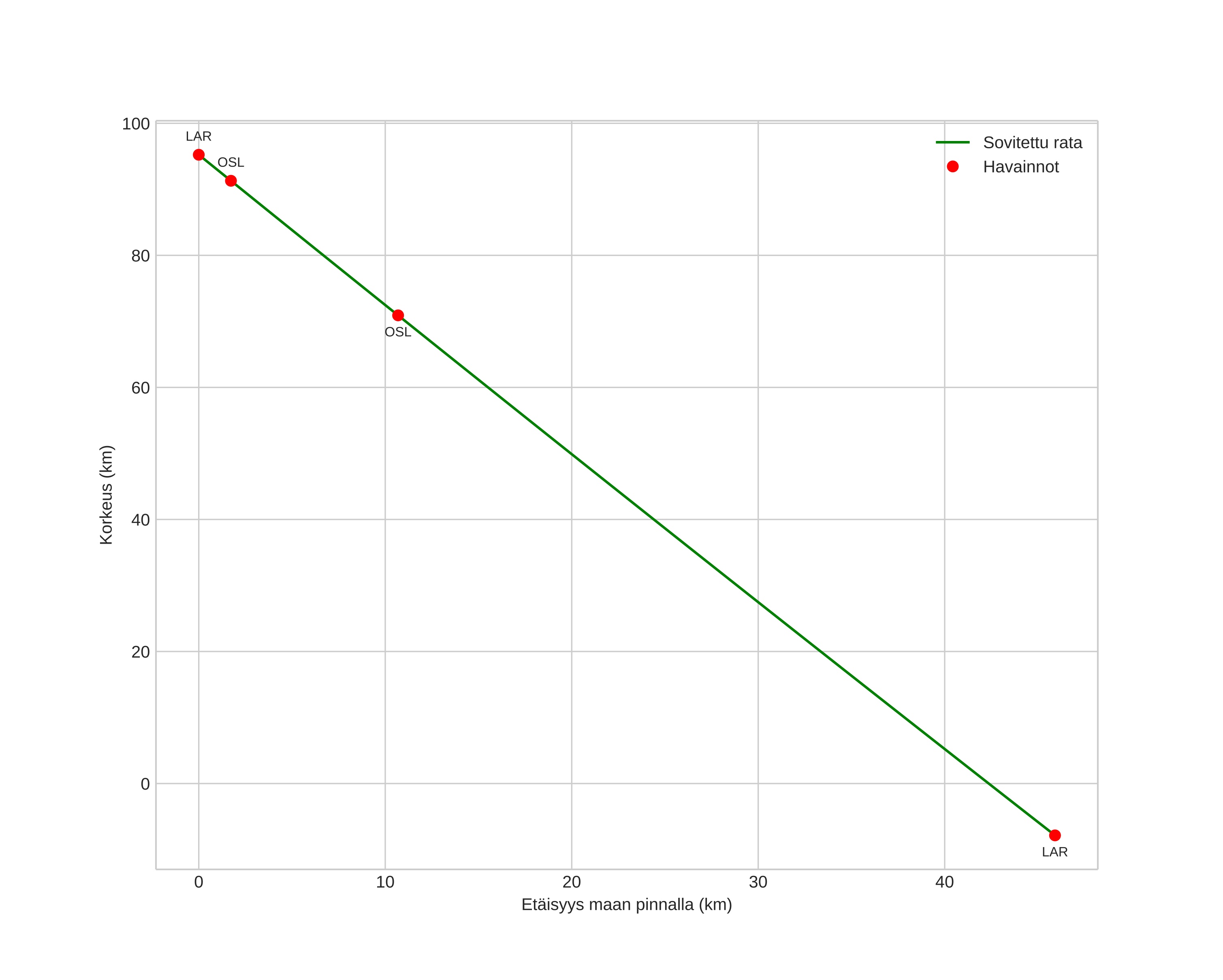
height profile
Meteorin ilmakehärata:
Alkukorkeus: 91,8 km
Loppukorkeus: 57,7 km
Alkupiste: 61,677N 7,286E
Loppupiste: 61,547N 7,368E
Suunta: 163,3°
Kallistuskulma: 66,0°
Tulonopeus: 35,5 km/s
Radiantin R,A,: 17:43 (265,9°)
Radiantin Dekl,: 81,4°
Meteoriparvi: Sporadinen
Meteoroidin rataelementit:
Perihelietäisyys: 1,000 AU
Eksentrisyys: 0,779
Inklinaatio: 56,2°
Nousevan solmun pituus: 153,9°
Perihelin argumentti: 167,6°
Keskianomalia: 1,0°
Epookki: 2020 AUG 26 22:37:13
orbit plot

Ei-interaktiivinen kuvaaja | Interaktiivinen kuvaaja

position vs time
speed and acceleration