🇳🇴 🇬🇧 🇩🇪 🇨🇿 🇫🇮

Meteor, poloha: Brumunddal 2020-08-27 20:32:48 UTC

Soubor KML  |  InteraktivnĂ­ mapa

Mapa zobrazuje dráhy meteoru. Světlejší čáry ukazují směry od pozorovacích stanic při objevení se meteoru a tmavší čáry, kde byl naposledy viděn. Modrá šipka značí viditelnou dráhu meteoru.

static map
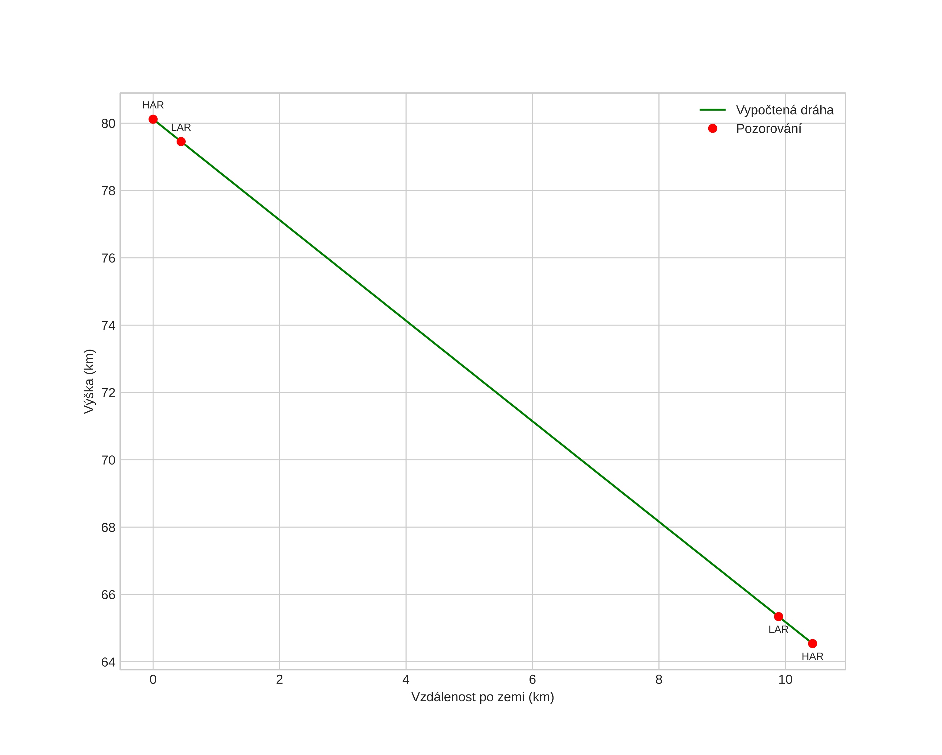
height profile
Atmosférická dráha meteoru:
Počáteční výška: 88,3 km
Konečná výška: 66,1 km
Počáteční poloha: 61,238N 10,751E
Konečná poloha: 61,169N 10,980E
Směr: 122,0°
Sklon: 56,9°
VstupnĂ­ rychlost: 30,3 km/s
Rektascenze radiantu: 14:44 (221,0°)
Deklinace radiantu: 59,9°
MeteorickĂ˝ roj: sporadickĂ˝
Elementy dráhy meteoroidu:
Vzdálenost v periheliu: 0,961 AU
Excentricita: 1,122
Sklon dráhy: 38,4°
Délka vzestupného uzlu: 154,7°
Argument perihelia: 155,2°
Střední anomálie: 0,7°
Epocha: 2020 AUG 27 20:32:48
orbit plot

NeinteraktivnĂ­ graf | InteraktivnĂ­ graf

position vs time
speed and acceleration