🇳🇴 🇬🇧 🇩🇪 🇨🇿 🇫🇮

Meteor Brumunddalin yllä 2020-08-27 20:32:48 UTC

KML-tiedosto  |  Interaktiivinen kartta

Kartta näyttää meteorin suuntahavainnot. Vaaleammat viivat näyttävät suunnat havaintoasemilta meteorin ilmestyessä, ja tummemmat viivat näyttävät, missä se viimeksi nähtiin. Sininen nuoli näyttää meteorin näkyvän lennon.

static map
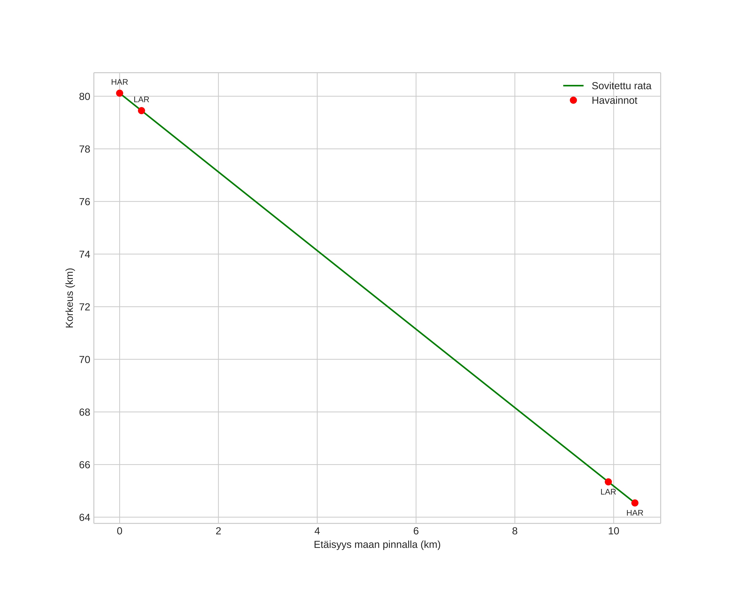
height profile
Meteorin ilmakehärata:
Alkukorkeus: 88,3 km
Loppukorkeus: 66,1 km
Alkupiste: 61,238N 10,751E
Loppupiste: 61,169N 10,980E
Suunta: 122,0°
Kallistuskulma: 56,9°
Tulonopeus: 30,3 km/s
Radiantin R,A,: 14:44 (221,0°)
Radiantin Dekl,: 59,9°
Meteoriparvi: Sporadinen
Meteoroidin rataelementit:
Perihelietäisyys: 0,961 AU
Eksentrisyys: 1,122
Inklinaatio: 38,4°
Nousevan solmun pituus: 154,7°
Perihelin argumentti: 155,2°
Keskianomalia: 0,7°
Epookki: 2020 AUG 27 20:32:48
orbit plot

Ei-interaktiivinen kuvaaja | Interaktiivinen kuvaaja

position vs time
speed and acceleration