🇳🇴 🇬🇧 🇩🇪 🇨🇿 🇫🇮

Meteor, poloha: Hirtshals 2020-08-28 02:03:17 UTC

Soubor KML  |  InteraktivnĂ­ mapa

Mapa zobrazuje dráhy meteoru. Světlejší čáry ukazují směry od pozorovacích stanic při objevení se meteoru a tmavší čáry, kde byl naposledy viděn. Modrá šipka značí viditelnou dráhu meteoru.

static map
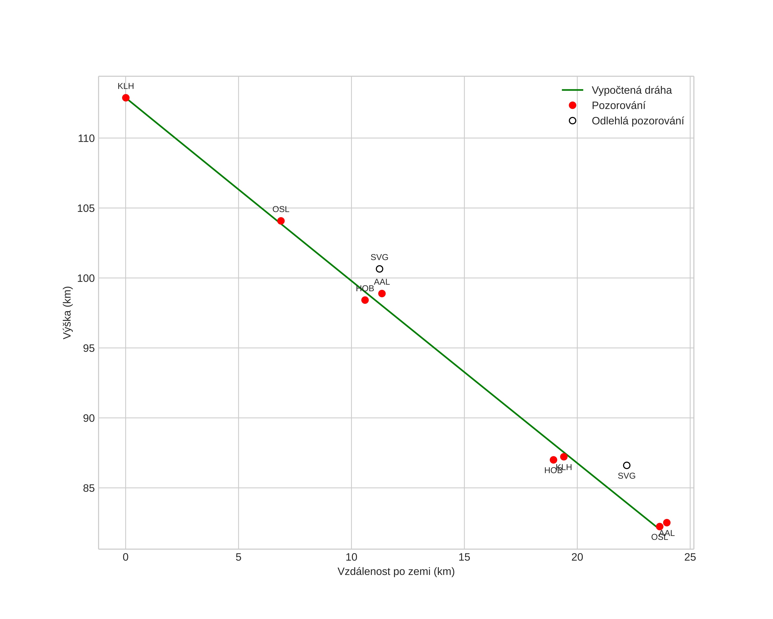
height profile
Atmosférická dráha meteoru:
Počáteční výška: 112,9 km
Konečná výška: 82,2 km
Počáteční poloha: 57,484N 10,323E
Konečná poloha: 57,641N 10,058E
Směr: 317,9°
Sklon: 52,5°
VstupnĂ­ rychlost: 61,3 km/s
Rektascenze radiantu: 02:56 (44,2°)
Deklinace radiantu: 24,8°
MeteorickĂ˝ roj: sporadickĂ˝
Elementy dráhy meteoroidu:
Vzdálenost v periheliu: 0,619 AU
Excentricita: 0,558
Sklon dráhy: 164,0°
Délka vzestupného uzlu: 155,0°
Argument perihelia: 274,6°
Střední anomálie: 327,8°
Epocha: 2020 AUG 28 02:03:17
orbit plot

NeinteraktivnĂ­ graf | InteraktivnĂ­ graf

position vs time
speed and acceleration