🇳🇴 🇬🇧 🇩🇪 🇨🇿 🇫🇮

Meteor Hirtshalsin yllä 2020-08-28 02:03:17 UTC

KML-tiedosto  |  Interaktiivinen kartta

Kartta näyttää meteorin suuntahavainnot. Vaaleammat viivat näyttävät suunnat havaintoasemilta meteorin ilmestyessä, ja tummemmat viivat näyttävät, missä se viimeksi nähtiin. Sininen nuoli näyttää meteorin näkyvän lennon.

static map
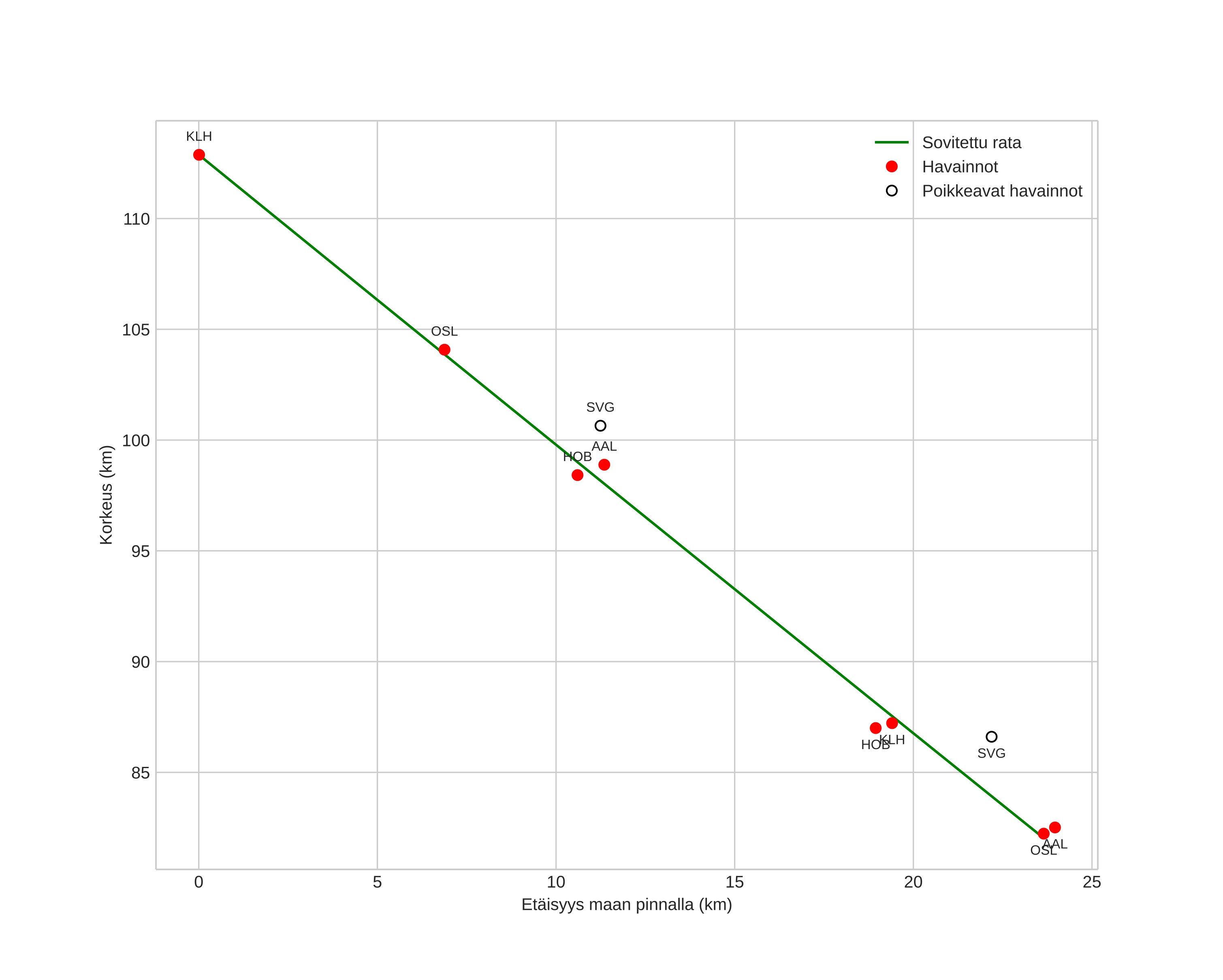
height profile
Meteorin ilmakehärata:
Alkukorkeus: 112,9 km
Loppukorkeus: 82,2 km
Alkupiste: 57,484N 10,323E
Loppupiste: 57,641N 10,058E
Suunta: 317,9°
Kallistuskulma: 52,5°
Tulonopeus: 61,3 km/s
Radiantin R,A,: 02:56 (44,2°)
Radiantin Dekl,: 24,8°
Meteoriparvi: Sporadinen
Meteoroidin rataelementit:
Perihelietäisyys: 0,619 AU
Eksentrisyys: 0,558
Inklinaatio: 164,0°
Nousevan solmun pituus: 155,0°
Perihelin argumentti: 274,6°
Keskianomalia: 327,8°
Epookki: 2020 AUG 28 02:03:17
orbit plot

Ei-interaktiivinen kuvaaja | Interaktiivinen kuvaaja

position vs time
speed and acceleration