🇳🇴 🇬🇧 🇩🇪 🇨🇿 🇫🇮

Meteor, poloha: Mandal 2020-08-30 23:43:15 UTC

Soubor KML  |  InteraktivnĂ­ mapa

Mapa zobrazuje dráhy meteoru. Světlejší čáry ukazují směry od pozorovacích stanic při objevení se meteoru a tmavší čáry, kde byl naposledy viděn. Modrá šipka značí viditelnou dráhu meteoru.

static map
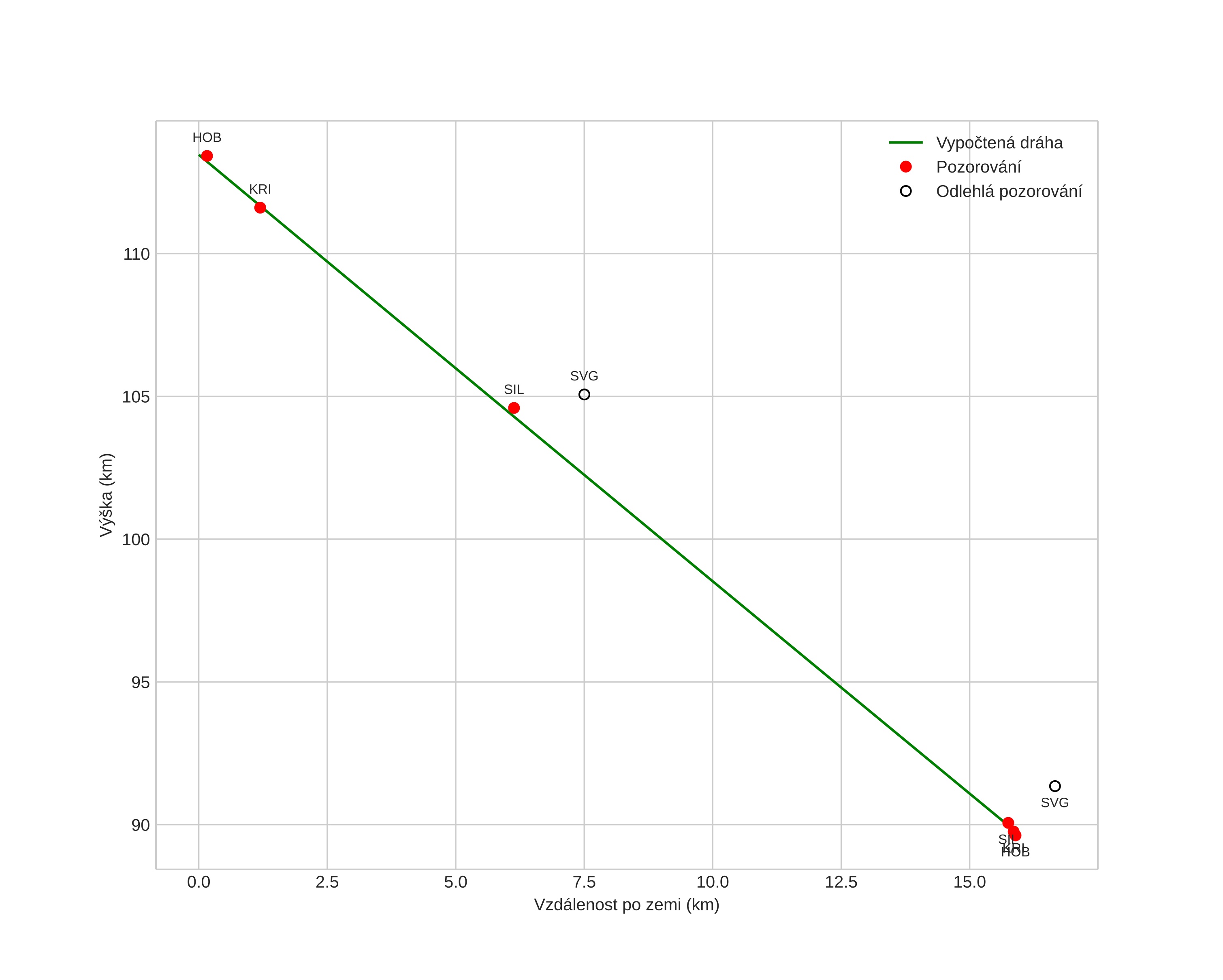
height profile
Atmosférická dráha meteoru:
Počáteční výška: 113,4 km
Konečná výška: 89,0 km
Počáteční poloha: 57,320N 7,663E
Konečná poloha: 57,308N 7,388E
Směr: 265,4°
Sklon: 55,8°
VstupnĂ­ rychlost: 66,2 km/s
Rektascenze radiantu: 02:25 (36,5°)
Deklinace radiantu: 45,9°
MeteorickĂ˝ roj: sporadickĂ˝
Elementy dráhy meteoroidu:
Vzdálenost v periheliu: 0,859 AU
Excentricita: 1,186
Sklon dráhy: 127,2°
Délka vzestupného uzlu: 157,8°
Argument perihelia: 223,6°
Střední anomálie: -2,6°
Epocha: 2020 AUG 30 23:43:15
orbit plot

NeinteraktivnĂ­ graf | InteraktivnĂ­ graf

position vs time
speed and acceleration