🇳🇴 🇬🇧 🇩🇪 🇨🇿 🇫🇮

Meteor Mandalin yllä 2020-08-30 23:43:15 UTC

KML-tiedosto  |  Interaktiivinen kartta

Kartta näyttää meteorin suuntahavainnot. Vaaleammat viivat näyttävät suunnat havaintoasemilta meteorin ilmestyessä, ja tummemmat viivat näyttävät, missä se viimeksi nähtiin. Sininen nuoli näyttää meteorin näkyvän lennon.

static map
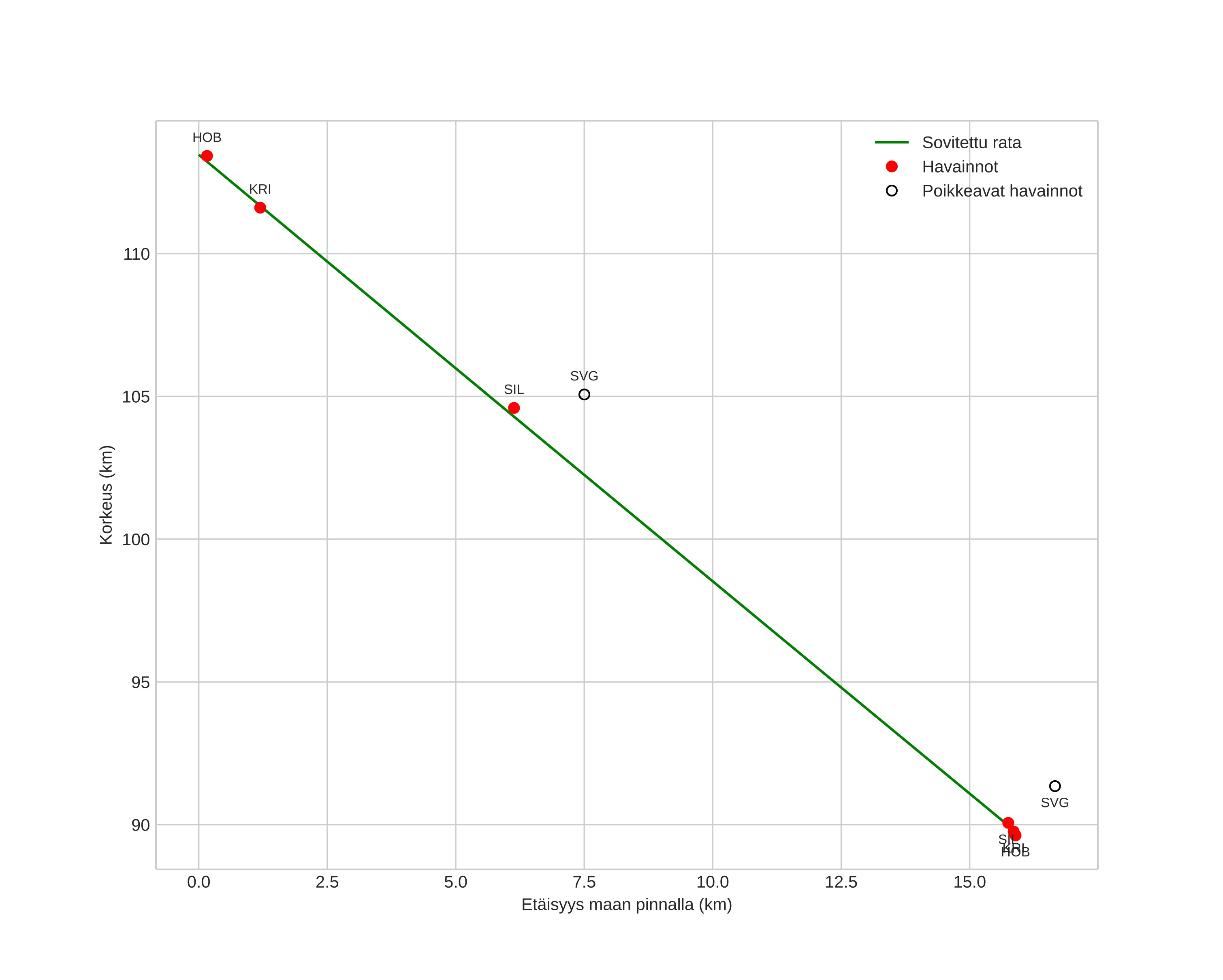
height profile
Meteorin ilmakehärata:
Alkukorkeus: 113,4 km
Loppukorkeus: 89,0 km
Alkupiste: 57,320N 7,663E
Loppupiste: 57,308N 7,388E
Suunta: 265,4°
Kallistuskulma: 55,8°
Tulonopeus: 66,2 km/s
Radiantin R,A,: 02:25 (36,5°)
Radiantin Dekl,: 45,9°
Meteoriparvi: Sporadinen
Meteoroidin rataelementit:
Perihelietäisyys: 0,859 AU
Eksentrisyys: 1,186
Inklinaatio: 127,2°
Nousevan solmun pituus: 157,8°
Perihelin argumentti: 223,6°
Keskianomalia: -2,6°
Epookki: 2020 AUG 30 23:43:15
orbit plot

Ei-interaktiivinen kuvaaja | Interaktiivinen kuvaaja

position vs time
speed and acceleration