🇳🇴 🇬🇧 🇩🇪 🇨🇿 🇫🇮

Meteor, poloha: Kilafors 2020-08-31 01:00:41 UTC

Soubor KML  |  InteraktivnĂ­ mapa

Mapa zobrazuje dráhy meteoru. Světlejší čáry ukazují směry od pozorovacích stanic při objevení se meteoru a tmavší čáry, kde byl naposledy viděn. Modrá šipka značí viditelnou dráhu meteoru.

static map
height profile
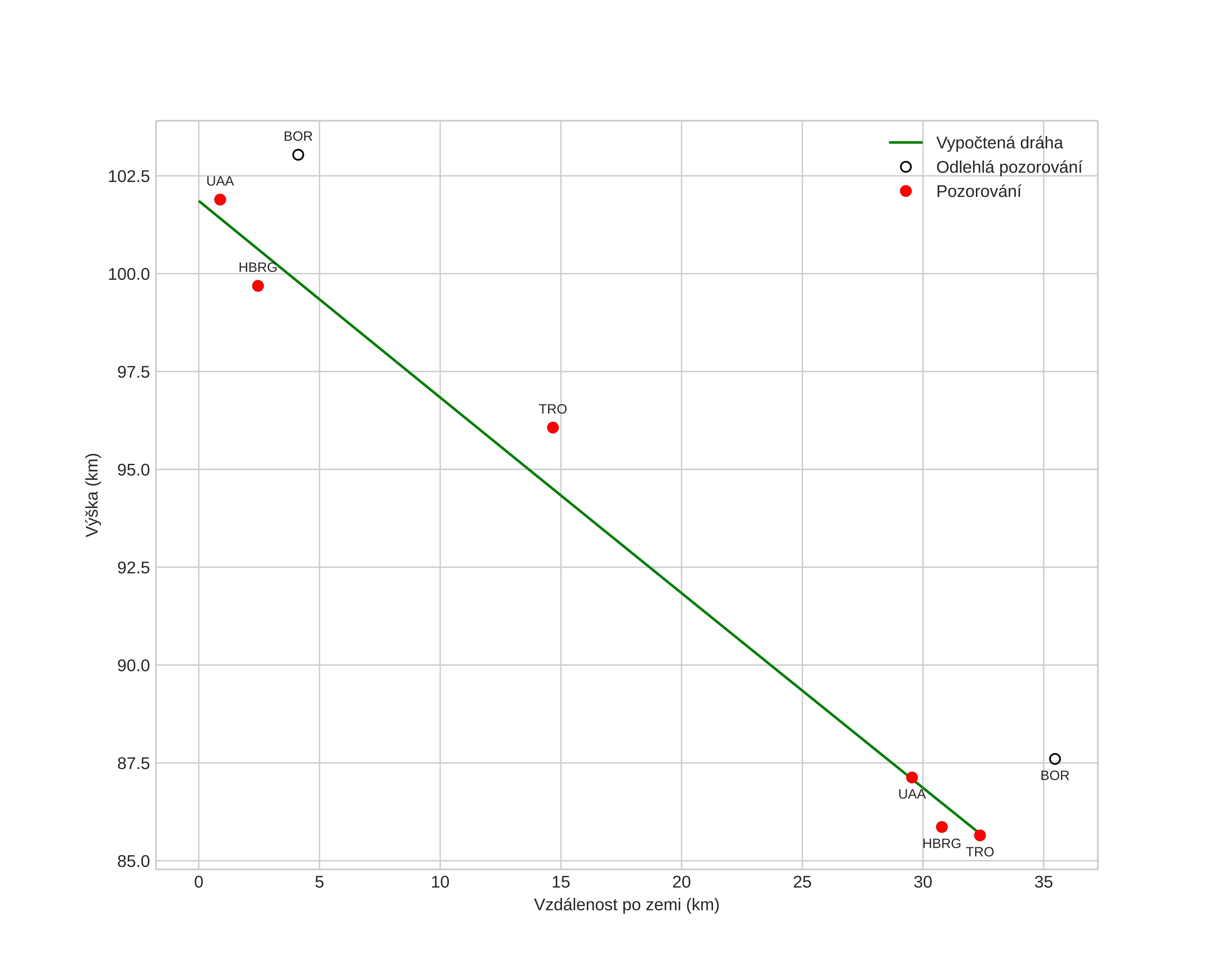
Atmosférická dráha meteoru:
Počáteční výška: 101,7 km
Konečná výška: 82,5 km
Počáteční poloha: 60,741N 16,605E
Konečná poloha: 61,059N 16,372E
Směr: 340,5°
Sklon: 27,1°
VstupnĂ­ rychlost: 57,1 km/s
Rektascenze radiantu: 01:53 (28,3°)
Deklinace radiantu: -1,6°
MeteorickĂ˝ roj: sporadickĂ˝
Elementy dráhy meteoroidu:
Vzdálenost v periheliu: 0,154 AU
Excentricita: 0,980
Sklon dráhy: 132,9°
Délka vzestupného uzlu: 337,8°
Argument perihelia: 135,4°
Střední anomálie: 358,4°
Epocha: 2020 AUG 31 01:00:41
orbit plot

NeinteraktivnĂ­ graf | InteraktivnĂ­ graf

position vs time
speed and acceleration