🇳🇴 🇬🇧 🇩🇪 🇨🇿 🇫🇮

Meteor Kilaforsin yllä 2020-08-31 01:00:41 UTC

KML-tiedosto  |  Interaktiivinen kartta

Kartta näyttää meteorin suuntahavainnot. Vaaleammat viivat näyttävät suunnat havaintoasemilta meteorin ilmestyessä, ja tummemmat viivat näyttävät, missä se viimeksi nähtiin. Sininen nuoli näyttää meteorin näkyvän lennon.

static map
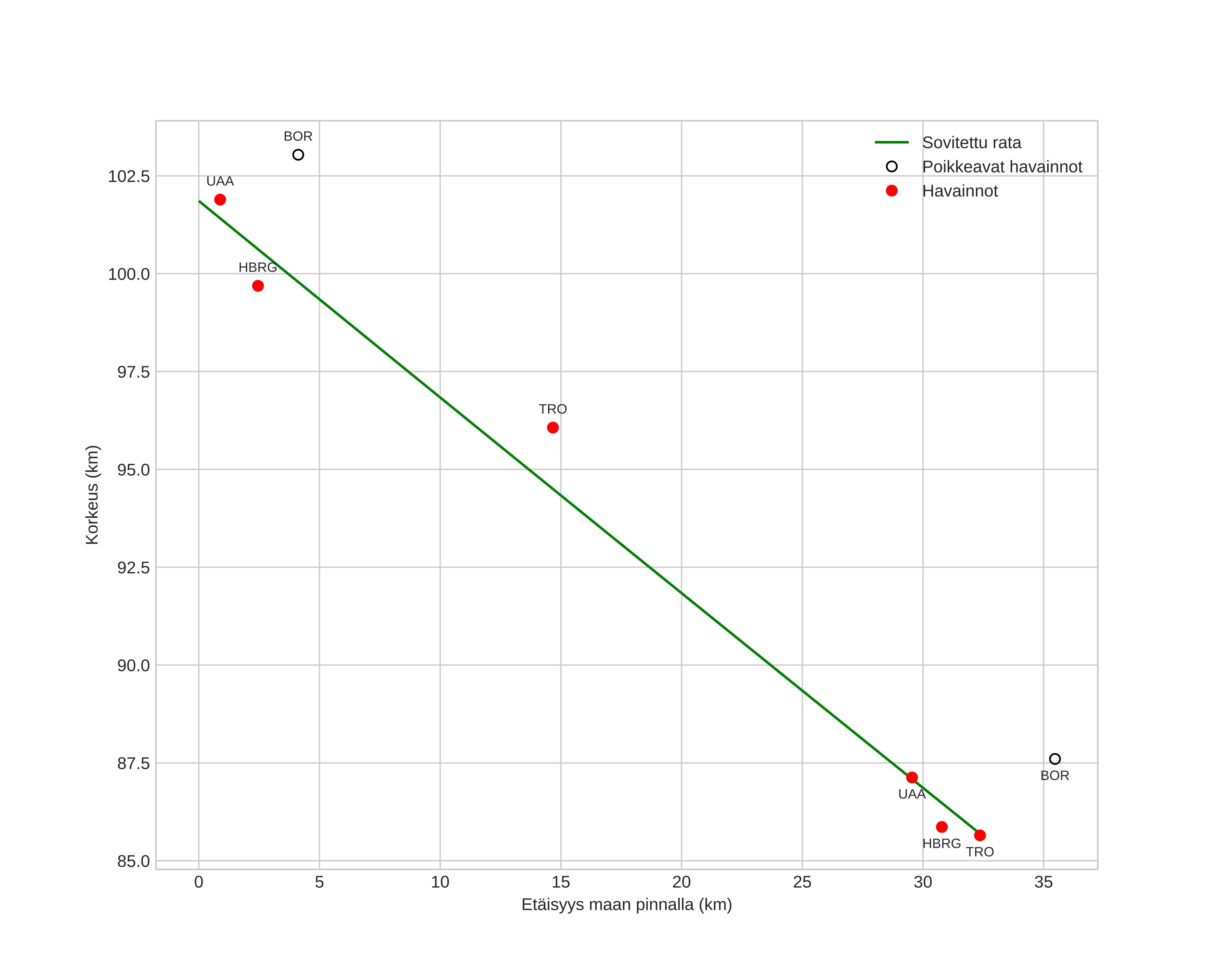
height profile
Meteorin ilmakehärata:
Alkukorkeus: 101,7 km
Loppukorkeus: 82,5 km
Alkupiste: 60,741N 16,605E
Loppupiste: 61,059N 16,372E
Suunta: 340,5°
Kallistuskulma: 27,1°
Tulonopeus: 57,1 km/s
Radiantin R,A,: 01:53 (28,3°)
Radiantin Dekl,: -1,6°
Meteoriparvi: Sporadinen
Meteoroidin rataelementit:
Perihelietäisyys: 0,154 AU
Eksentrisyys: 0,980
Inklinaatio: 132,9°
Nousevan solmun pituus: 337,8°
Perihelin argumentti: 135,4°
Keskianomalia: 358,4°
Epookki: 2020 AUG 31 01:00:41
orbit plot

Ei-interaktiivinen kuvaaja | Interaktiivinen kuvaaja

position vs time
speed and acceleration