🇳🇴 🇬🇧 🇩🇪 🇨🇿 🇫🇮

Meteor, poloha: Lillesand 2020-09-04 01:19:45 UTC

Soubor KML  |  InteraktivnĂ­ mapa

Mapa zobrazuje dráhy meteoru. Světlejší čáry ukazují směry od pozorovacích stanic při objevení se meteoru a tmavší čáry, kde byl naposledy viděn. Modrá šipka značí viditelnou dráhu meteoru.

static map
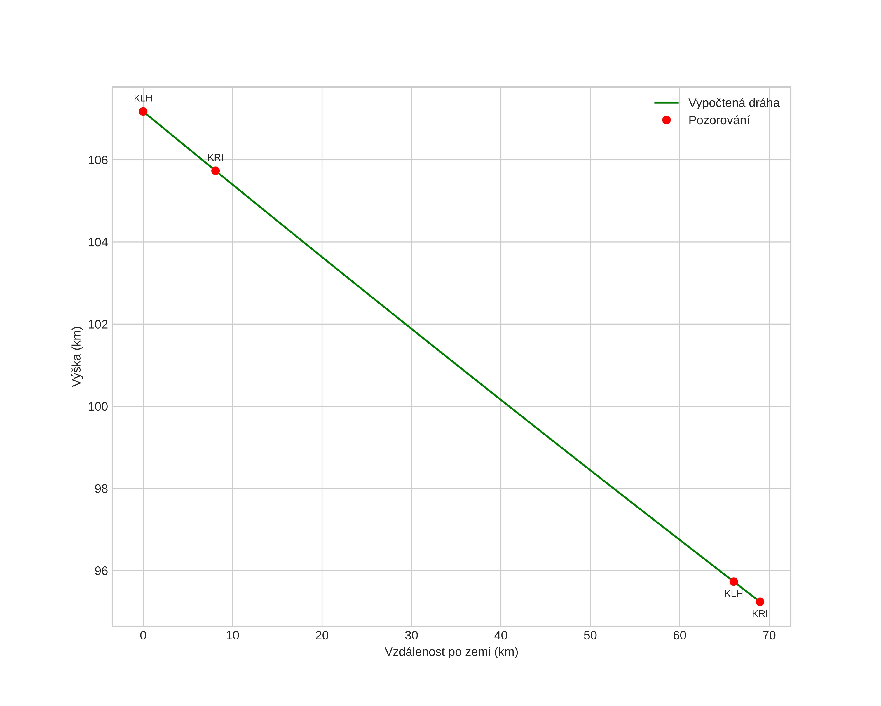
height profile
Atmosférická dráha meteoru:
Počáteční výška: 107,4 km
Konečná výška: 95,4 km
Počáteční poloha: 58,112N 9,639E
Konečná poloha: 58,036N 8,451E
Směr: 263,6°
Sklon: 9,7°
VstupnĂ­ rychlost: 62,6 km/s
Rektascenze radiantu: 06:54 (103,5°)
Deklinace radiantu: 11,0°
MeteorickĂ˝ roj: sporadickĂ˝
Elementy dráhy meteoroidu:
Vzdálenost v periheliu: 0,366 AU
Excentricita: 0,932
Sklon dráhy: 149,7°
Délka vzestupného uzlu: 341,7°
Argument perihelia: 251,4°
Střední anomálie: 3,2°
Epocha: 2020 SEP 04 01:19:45
orbit plot

NeinteraktivnĂ­ graf | InteraktivnĂ­ graf

position vs time
speed and acceleration