🇳🇴 🇬🇧 🇩🇪 🇨🇿 🇫🇮

Meteor Lillesandin yllä 2020-09-04 01:19:45 UTC

KML-tiedosto  |  Interaktiivinen kartta

Kartta näyttää meteorin suuntahavainnot. Vaaleammat viivat näyttävät suunnat havaintoasemilta meteorin ilmestyessä, ja tummemmat viivat näyttävät, missä se viimeksi nähtiin. Sininen nuoli näyttää meteorin näkyvän lennon.

static map
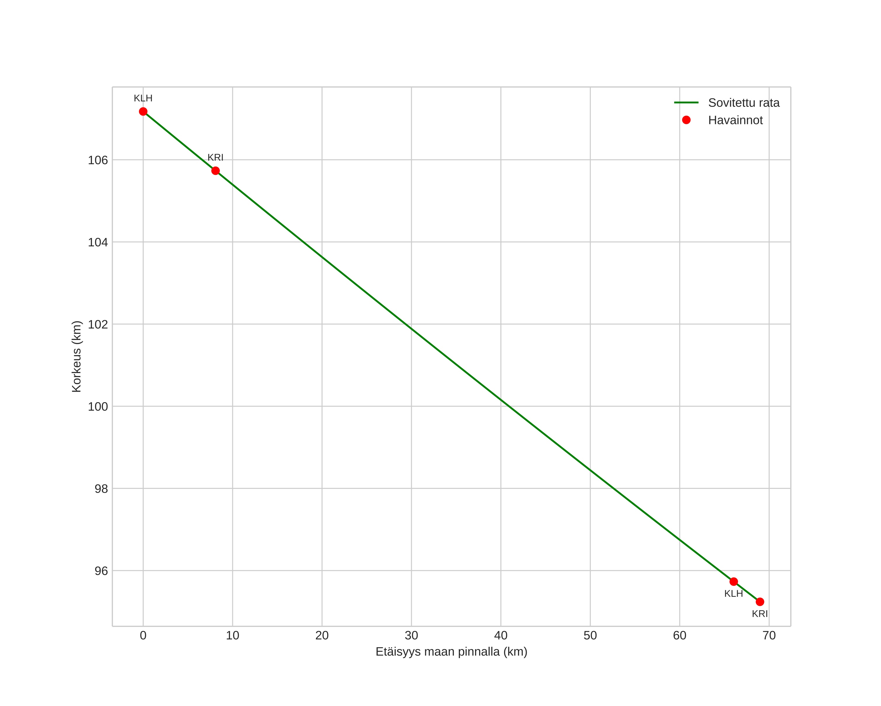
height profile
Meteorin ilmakehärata:
Alkukorkeus: 107,4 km
Loppukorkeus: 95,4 km
Alkupiste: 58,112N 9,639E
Loppupiste: 58,036N 8,451E
Suunta: 263,6°
Kallistuskulma: 9,7°
Tulonopeus: 62,6 km/s
Radiantin R,A,: 06:54 (103,5°)
Radiantin Dekl,: 11,0°
Meteoriparvi: Sporadinen
Meteoroidin rataelementit:
Perihelietäisyys: 0,366 AU
Eksentrisyys: 0,932
Inklinaatio: 149,7°
Nousevan solmun pituus: 341,7°
Perihelin argumentti: 251,4°
Keskianomalia: 3,2°
Epookki: 2020 SEP 04 01:19:45
orbit plot

Ei-interaktiivinen kuvaaja | Interaktiivinen kuvaaja

position vs time
speed and acceleration