🇳🇴 🇬🇧 🇩🇪 🇨🇿 🇫🇮

Meteor, poloha: Karlsborg 2020-09-05 20:23:22 UTC

Soubor KML  |  InteraktivnĂ­ mapa

Mapa zobrazuje dráhy meteoru. Světlejší čáry ukazují směry od pozorovacích stanic při objevení se meteoru a tmavší čáry, kde byl naposledy viděn. Modrá šipka značí viditelnou dráhu meteoru.

static map
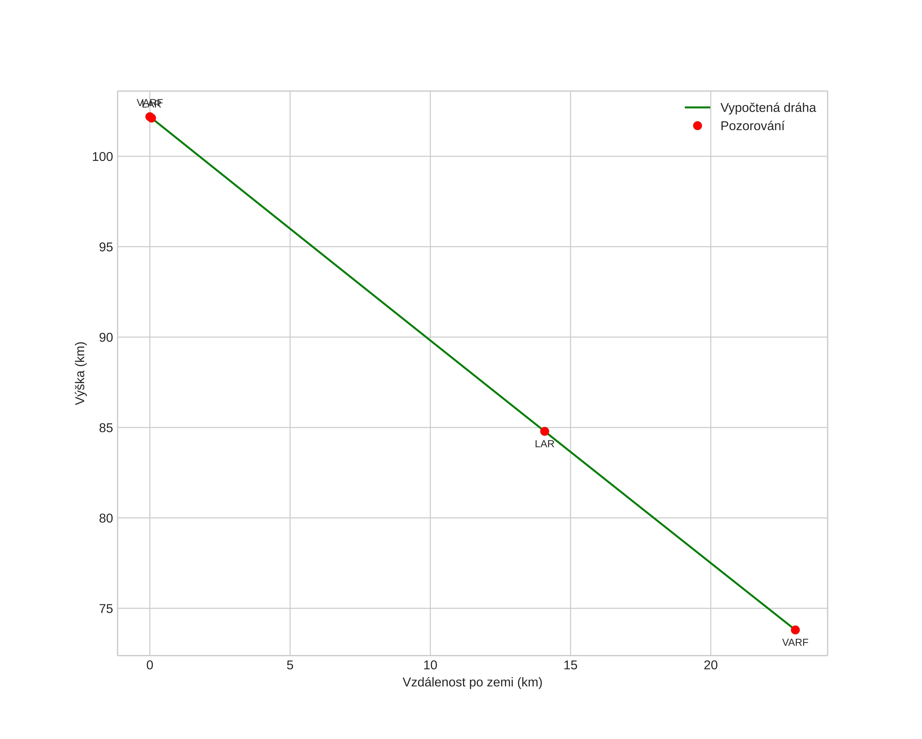
height profile
Atmosférická dráha meteoru:
Počáteční výška: 101,8 km
Konečná výška: 73,3 km
Počáteční poloha: 58,916N 14,503E
Konečná poloha: 58,714N 14,565E
Směr: 171,0°
Sklon: 51,5°
VstupnĂ­ rychlost: 50,0 km/s
Rektascenze radiantu: 10:54 (163,7°)
Deklinace radiantu: 80,6°
MeteorickĂ˝ roj: sporadickĂ˝
Elementy dráhy meteoroidu:
Vzdálenost v periheliu: 0,942 AU
Excentricita: 1,435
Sklon dráhy: 75,2°
Délka vzestupného uzlu: 163,4°
Argument perihelia: 152,7°
Střední anomálie: 5,3°
Epocha: 2020 SEP 05 20:23:22
orbit plot

NeinteraktivnĂ­ graf | InteraktivnĂ­ graf

position vs time
speed and acceleration