🇳🇴 🇬🇧 🇩🇪 🇨🇿 🇫🇮

Meteor Karlsborgin yllä 2020-09-05 20:23:22 UTC

KML-tiedosto  |  Interaktiivinen kartta

Kartta näyttää meteorin suuntahavainnot. Vaaleammat viivat näyttävät suunnat havaintoasemilta meteorin ilmestyessä, ja tummemmat viivat näyttävät, missä se viimeksi nähtiin. Sininen nuoli näyttää meteorin näkyvän lennon.

static map
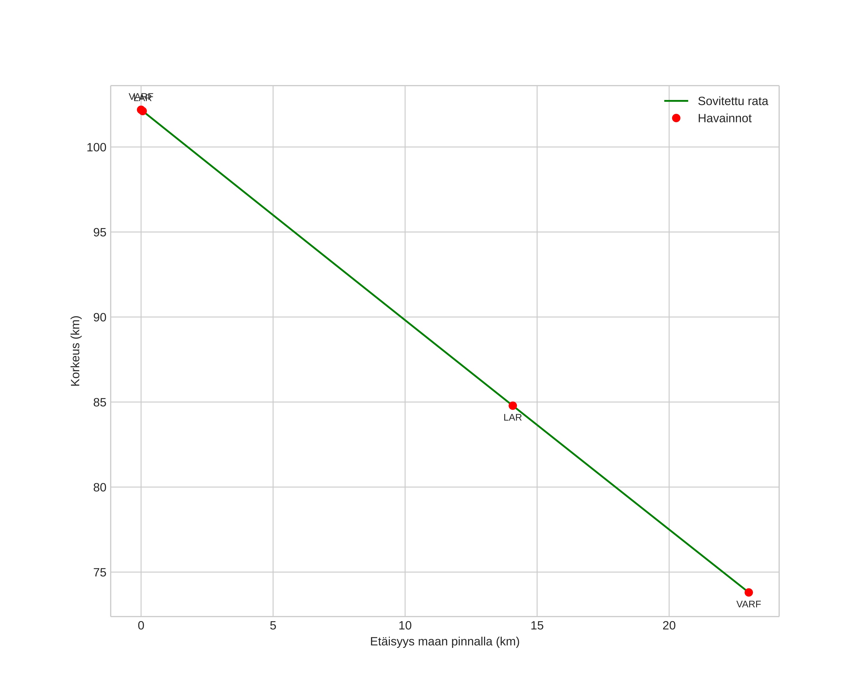
height profile
Meteorin ilmakehärata:
Alkukorkeus: 101,8 km
Loppukorkeus: 73,3 km
Alkupiste: 58,916N 14,503E
Loppupiste: 58,714N 14,565E
Suunta: 171,0°
Kallistuskulma: 51,5°
Tulonopeus: 50,0 km/s
Radiantin R,A,: 10:54 (163,7°)
Radiantin Dekl,: 80,6°
Meteoriparvi: Sporadinen
Meteoroidin rataelementit:
Perihelietäisyys: 0,942 AU
Eksentrisyys: 1,435
Inklinaatio: 75,2°
Nousevan solmun pituus: 163,4°
Perihelin argumentti: 152,7°
Keskianomalia: 5,3°
Epookki: 2020 SEP 05 20:23:22
orbit plot

Ei-interaktiivinen kuvaaja | Interaktiivinen kuvaaja

position vs time
speed and acceleration