🇳🇴 🇬🇧 🇩🇪 🇨🇿 🇫🇮

Meteor, poloha: LaxĂĄ 2020-09-05 20:23:23 UTC

Soubor KML  |  InteraktivnĂ­ mapa

Mapa zobrazuje dráhy meteoru. Světlejší čáry ukazují směry od pozorovacích stanic při objevení se meteoru a tmavší čáry, kde byl naposledy viděn. Modrá šipka značí viditelnou dráhu meteoru.

static map
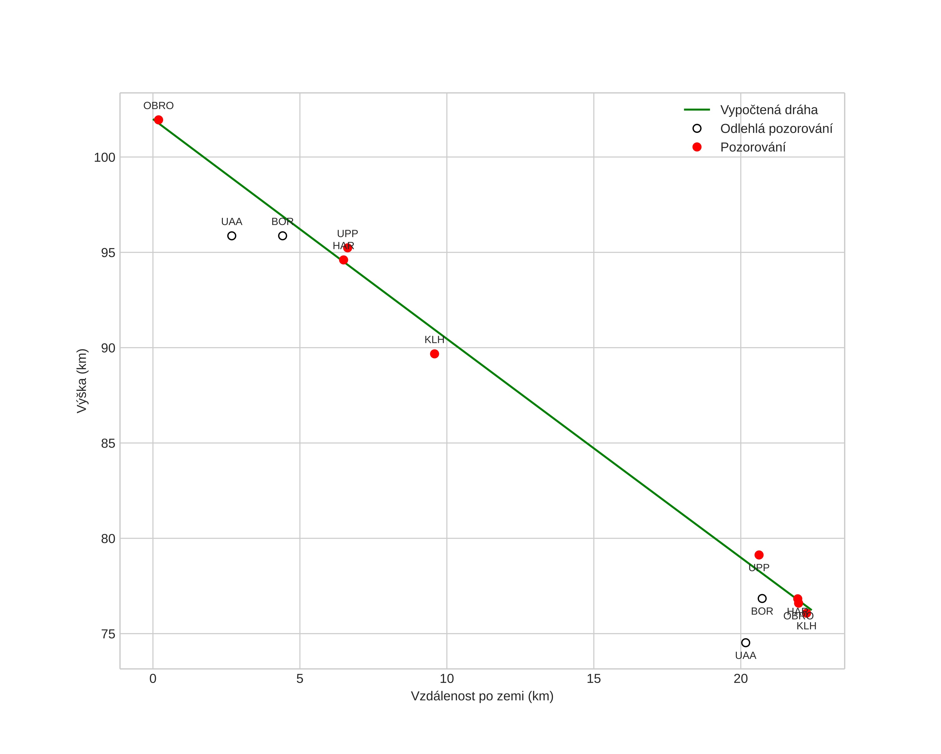
height profile
Atmosférická dráha meteoru:
Počáteční výška: 97,8 km
Konečná výška: 72,5 km
Počáteční poloha: 58,939N 14,496E
Konečná poloha: 58,760N 14,592E
Směr: 164,6°
Sklon: 50,8°
VstupnĂ­ rychlost: 40,8 km/s
Rektascenze radiantu: 11:52 (178,2°)
Deklinace radiantu: 77,3°
MeteorickĂ˝ roj: sporadickĂ˝
Elementy dráhy meteoroidu:
Vzdálenost v periheliu: 0,913 AU
Excentricita: 0,912
Sklon dráhy: 63,9°
Délka vzestupného uzlu: 163,4°
Argument perihelia: 143,3°
Střední anomálie: 0,7°
Epocha: 2020 SEP 05 20:23:23
orbit plot

NeinteraktivnĂ­ graf | InteraktivnĂ­ graf

position vs time
speed and acceleration