🇳🇴 🇬🇧 🇩🇪 🇨🇿 🇫🇮

Meteor Laxåin yllä 2020-09-05 20:23:23 UTC

KML-tiedosto  |  Interaktiivinen kartta

Kartta näyttää meteorin suuntahavainnot. Vaaleammat viivat näyttävät suunnat havaintoasemilta meteorin ilmestyessä, ja tummemmat viivat näyttävät, missä se viimeksi nähtiin. Sininen nuoli näyttää meteorin näkyvän lennon.

static map
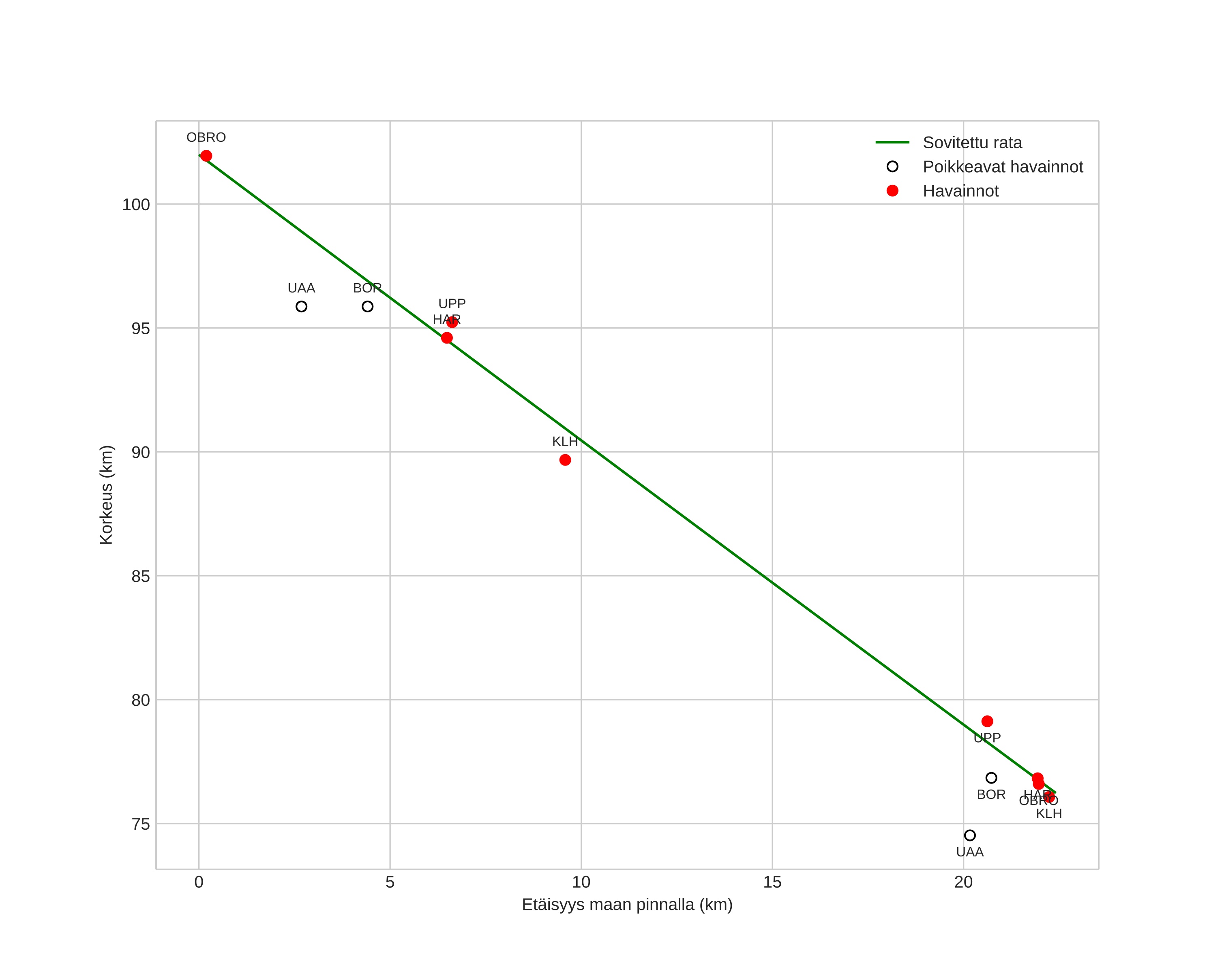
height profile
Meteorin ilmakehärata:
Alkukorkeus: 97,8 km
Loppukorkeus: 72,5 km
Alkupiste: 58,939N 14,496E
Loppupiste: 58,760N 14,592E
Suunta: 164,6°
Kallistuskulma: 50,8°
Tulonopeus: 40,8 km/s
Radiantin R,A,: 11:52 (178,2°)
Radiantin Dekl,: 77,3°
Meteoriparvi: Sporadinen
Meteoroidin rataelementit:
Perihelietäisyys: 0,913 AU
Eksentrisyys: 0,912
Inklinaatio: 63,9°
Nousevan solmun pituus: 163,4°
Perihelin argumentti: 143,3°
Keskianomalia: 0,7°
Epookki: 2020 SEP 05 20:23:23
orbit plot

Ei-interaktiivinen kuvaaja | Interaktiivinen kuvaaja

position vs time
speed and acceleration