🇳🇴 🇬🇧 🇩🇪 🇨🇿 🇫🇮

Meteor, poloha: Lampeland 2020-09-12 23:52:22 UTC

Soubor KML  |  InteraktivnĂ­ mapa

Mapa zobrazuje dráhy meteoru. Světlejší čáry ukazují směry od pozorovacích stanic při objevení se meteoru a tmavší čáry, kde byl naposledy viděn. Modrá šipka značí viditelnou dráhu meteoru.

static map
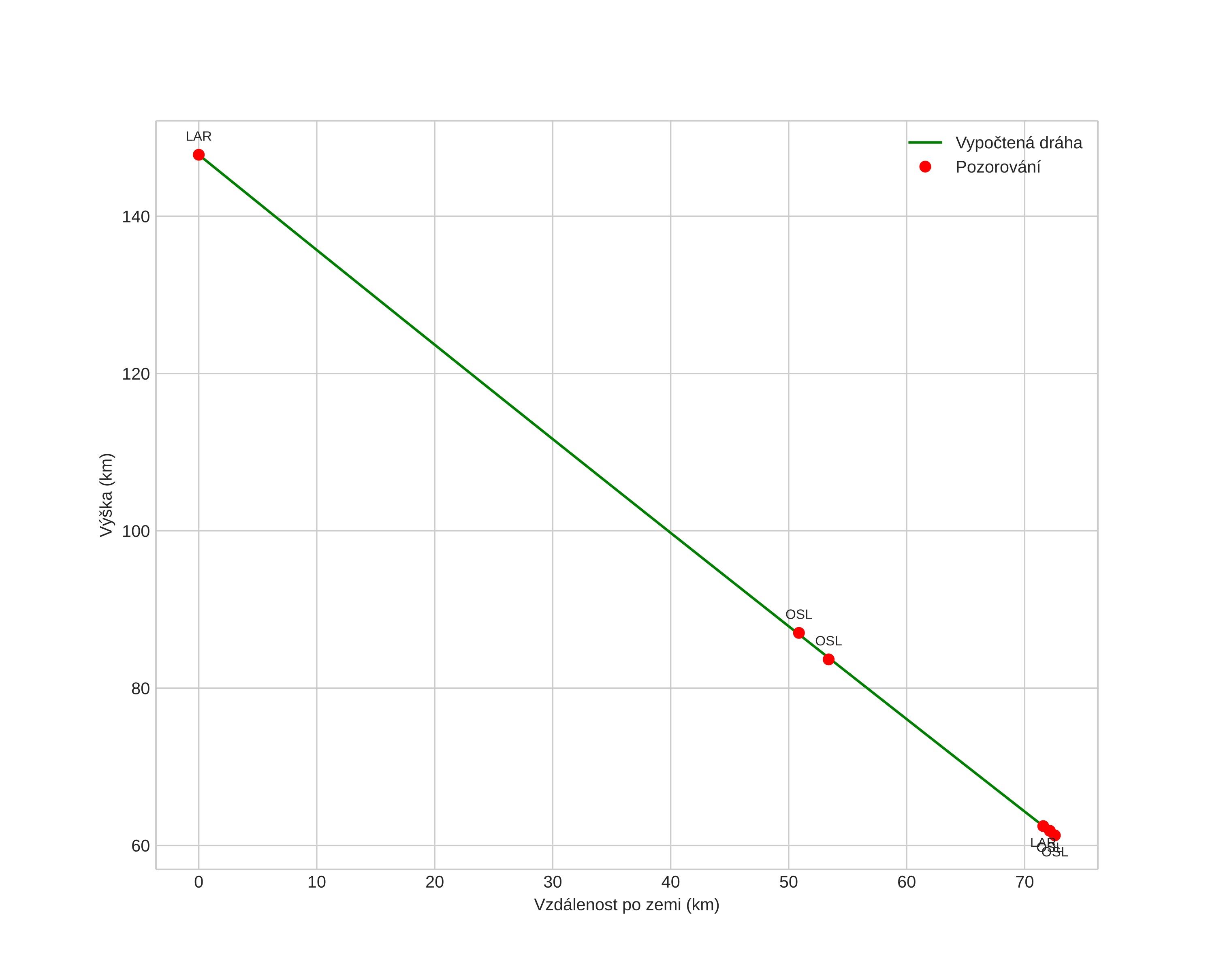
height profile
Atmosférická dráha meteoru:
Počáteční výška: 86,0 km
Konečná výška: 61,2 km
Počáteční poloha: 59,642N 9,229E
Konečná poloha: 59,804N 9,422E
Směr: 30,9°
Sklon: 49,8°
VstupnĂ­ rychlost: 23,2 km/s
Rektascenze radiantu: 22:28 (337,1°)
Deklinace radiantu: 19,3°
MeteorickĂ˝ roj: sporadickĂ˝
Elementy dráhy meteoroidu:
Vzdálenost v periheliu: 0,692 AU
Excentricita: 0,701
Sklon dráhy: 16,6°
Délka vzestupného uzlu: 170,4°
Argument perihelia: 256,0°
Střední anomálie: 347,5°
Epocha: 2020 SEP 12 23:52:22
orbit plot

NeinteraktivnĂ­ graf | InteraktivnĂ­ graf

position vs time
speed and acceleration