🇳🇴 🇬🇧 🇩🇪 🇨🇿 🇫🇮

Meteor Lampelandin yllä 2020-09-12 23:52:22 UTC

KML-tiedosto  |  Interaktiivinen kartta

Kartta näyttää meteorin suuntahavainnot. Vaaleammat viivat näyttävät suunnat havaintoasemilta meteorin ilmestyessä, ja tummemmat viivat näyttävät, missä se viimeksi nähtiin. Sininen nuoli näyttää meteorin näkyvän lennon.

static map
height profile
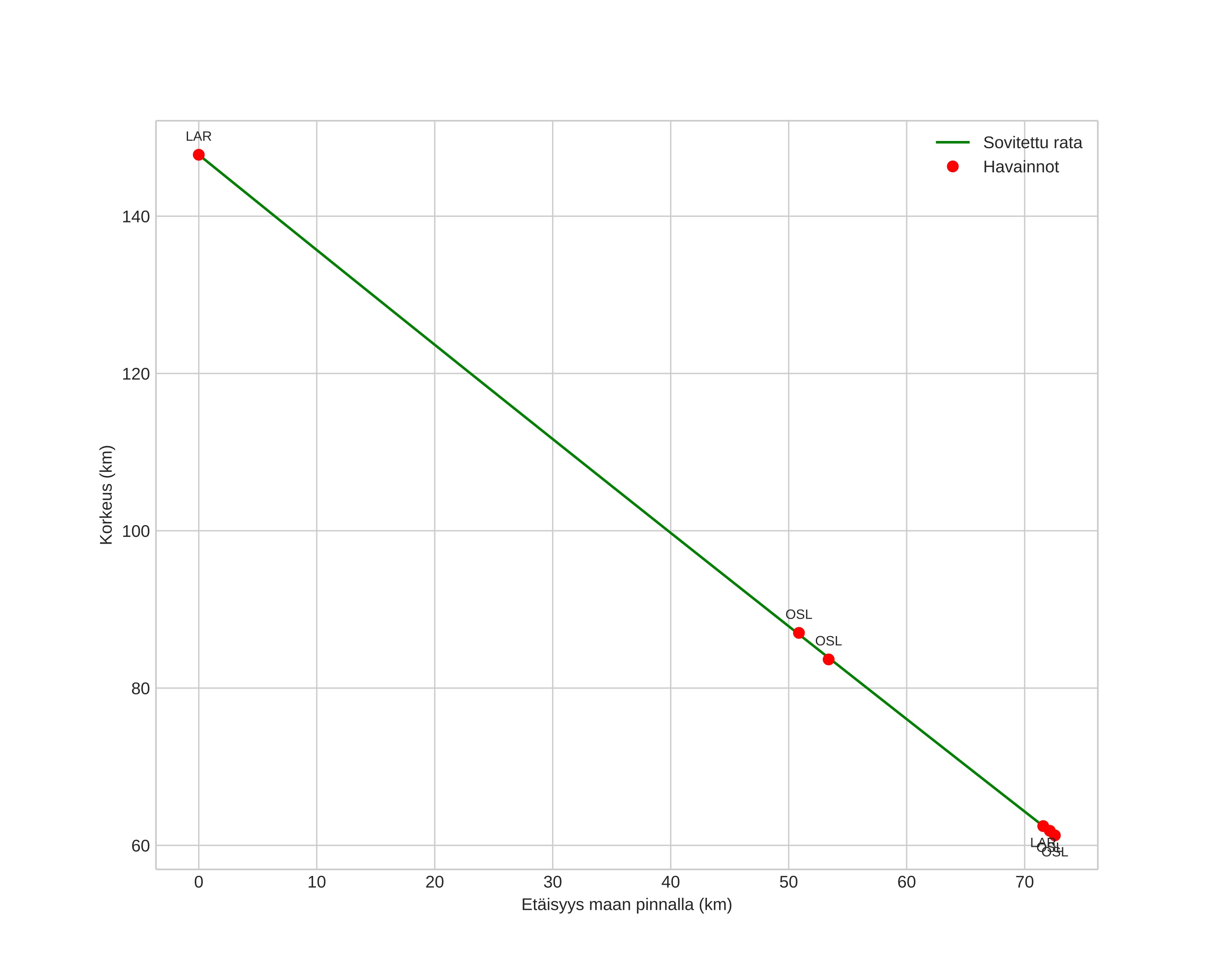
Meteorin ilmakehärata:
Alkukorkeus: 86,0 km
Loppukorkeus: 61,2 km
Alkupiste: 59,642N 9,229E
Loppupiste: 59,804N 9,422E
Suunta: 30,9°
Kallistuskulma: 49,8°
Tulonopeus: 23,2 km/s
Radiantin R,A,: 22:28 (337,1°)
Radiantin Dekl,: 19,3°
Meteoriparvi: Sporadinen
Meteoroidin rataelementit:
Perihelietäisyys: 0,692 AU
Eksentrisyys: 0,701
Inklinaatio: 16,6°
Nousevan solmun pituus: 170,4°
Perihelin argumentti: 256,0°
Keskianomalia: 347,5°
Epookki: 2020 SEP 12 23:52:22
orbit plot

Ei-interaktiivinen kuvaaja | Interaktiivinen kuvaaja

position vs time
speed and acceleration