🇳🇴 🇬🇧 🇩🇪 🇨🇿 🇫🇮

Meteor, poloha: Kirkenær 2020-09-12 23:52:33 UTC

Soubor KML  |  InteraktivnĂ­ mapa

Mapa zobrazuje dráhy meteoru. Světlejší čáry ukazují směry od pozorovacích stanic při objevení se meteoru a tmavší čáry, kde byl naposledy viděn. Modrá šipka značí viditelnou dráhu meteoru.

static map
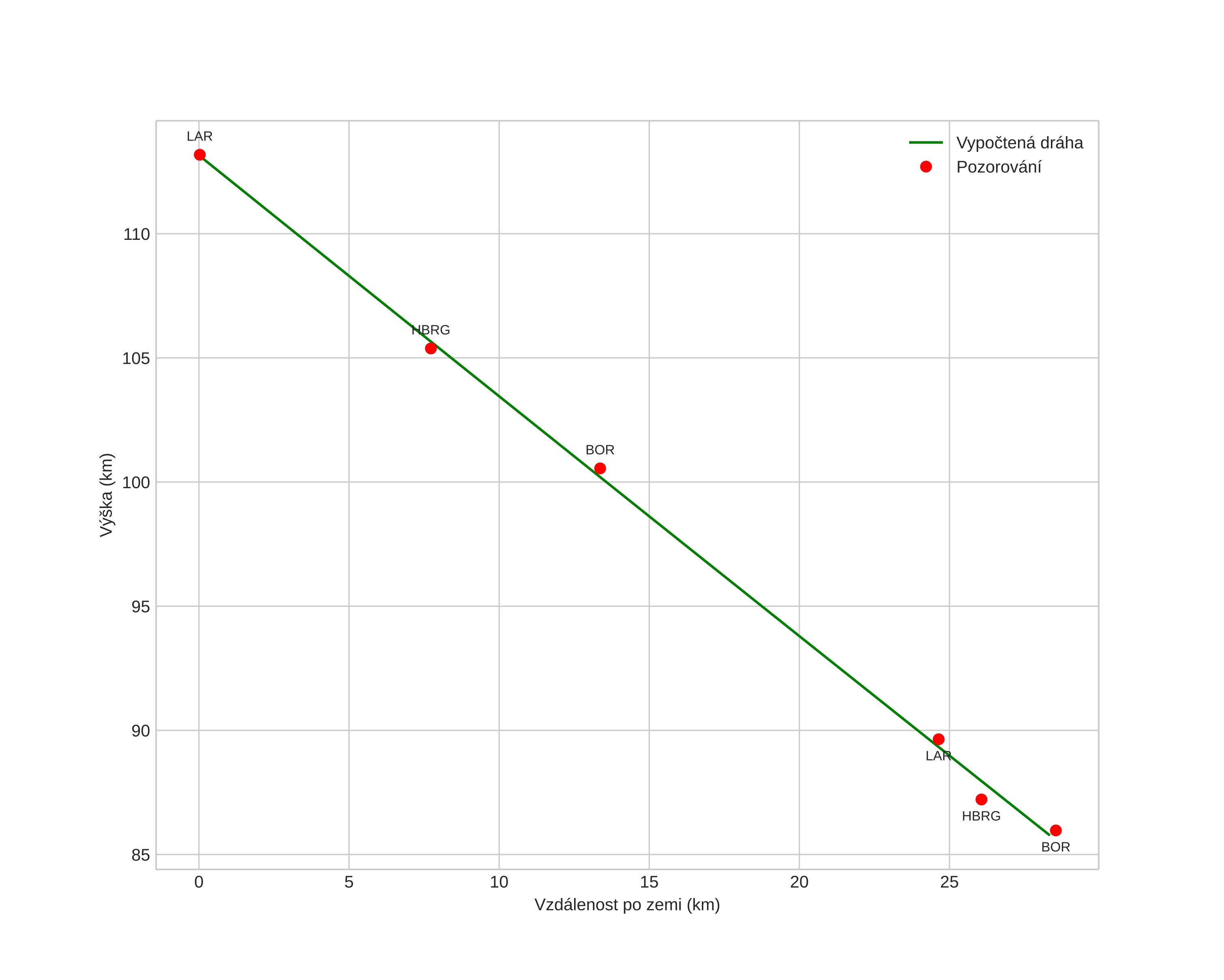
height profile
Atmosférická dráha meteoru:
Počáteční výška: 113,2 km
Konečná výška: 85,8 km
Počáteční poloha: 60,537N 12,832E
Konečná poloha: 60,449N 12,347E
Směr: 250,0°
Sklon: 44,0°
VstupnĂ­ rychlost: 73,7 km/s
Rektascenze radiantu: 05:29 (82,4°)
Deklinace radiantu: 46,4°
MeteorickĂ˝ roj: sporadickĂ˝
Elementy dráhy meteoroidu:
Vzdálenost v periheliu: 1,000 AU
Excentricita: 1,499
Sklon dráhy: 142,4°
Délka vzestupného uzlu: 170,4°
Argument perihelia: 171,7°
Střední anomálie: 1,9°
Epocha: 2020 SEP 12 23:52:33
orbit plot

NeinteraktivnĂ­ graf | InteraktivnĂ­ graf

position vs time
speed and acceleration