🇳🇴 🇬🇧 🇩🇪 🇨🇿 🇫🇮

Meteor Kirkenærin yllä 2020-09-12 23:52:33 UTC

KML-tiedosto  |  Interaktiivinen kartta

Kartta näyttää meteorin suuntahavainnot. Vaaleammat viivat näyttävät suunnat havaintoasemilta meteorin ilmestyessä, ja tummemmat viivat näyttävät, missä se viimeksi nähtiin. Sininen nuoli näyttää meteorin näkyvän lennon.

static map
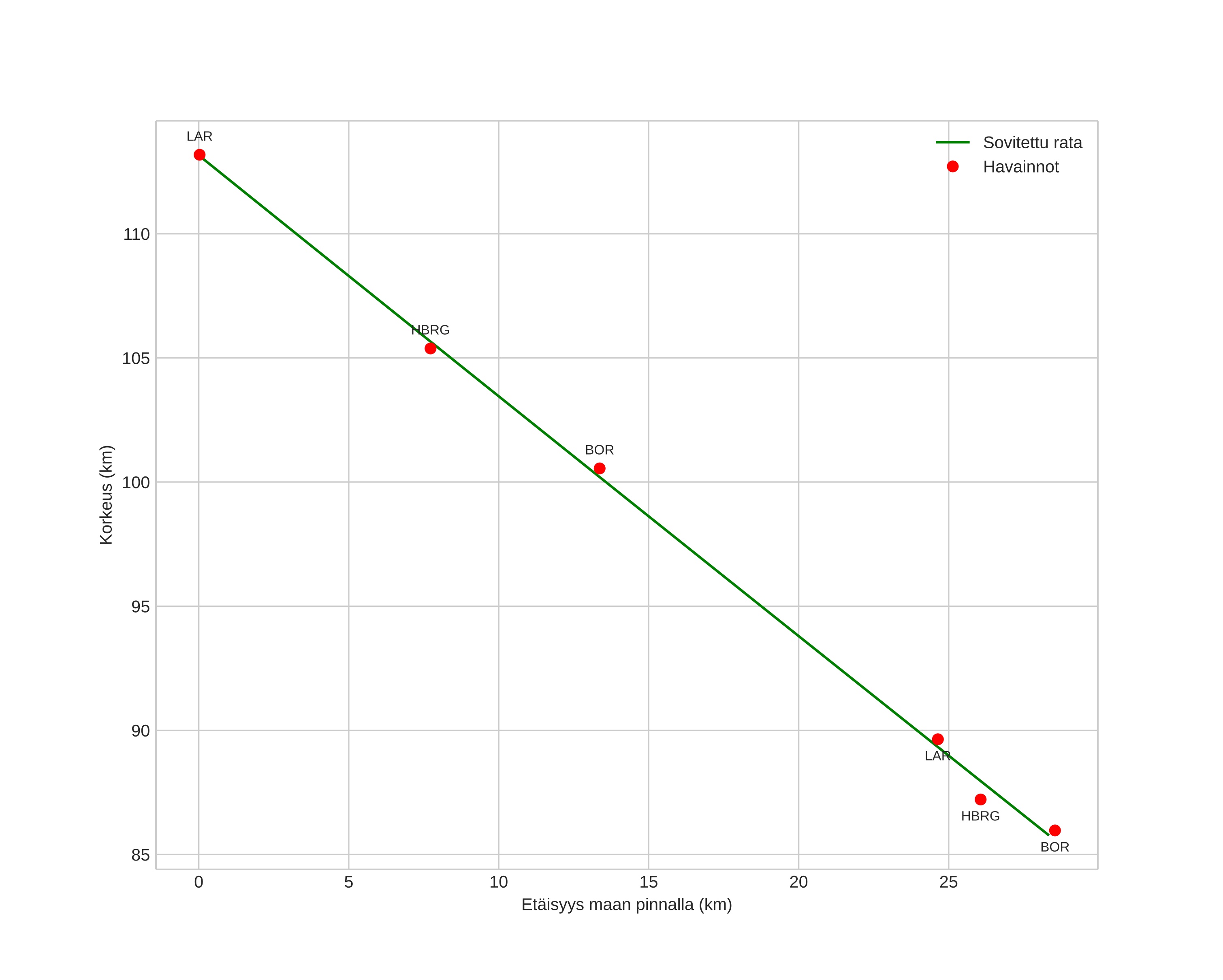
height profile
Meteorin ilmakehärata:
Alkukorkeus: 113,2 km
Loppukorkeus: 85,8 km
Alkupiste: 60,537N 12,832E
Loppupiste: 60,449N 12,347E
Suunta: 250,0°
Kallistuskulma: 44,0°
Tulonopeus: 73,7 km/s
Radiantin R,A,: 05:29 (82,4°)
Radiantin Dekl,: 46,4°
Meteoriparvi: Sporadinen
Meteoroidin rataelementit:
Perihelietäisyys: 1,000 AU
Eksentrisyys: 1,499
Inklinaatio: 142,4°
Nousevan solmun pituus: 170,4°
Perihelin argumentti: 171,7°
Keskianomalia: 1,9°
Epookki: 2020 SEP 12 23:52:33
orbit plot

Ei-interaktiivinen kuvaaja | Interaktiivinen kuvaaja

position vs time
speed and acceleration