🇳🇴 🇬🇧 🇩🇪 🇨🇿 🇫🇮

Meteor, poloha: Arvika 2020-09-18 01:06:55 UTC

Soubor KML  |  InteraktivnĂ­ mapa

Mapa zobrazuje dráhy meteoru. Světlejší čáry ukazují směry od pozorovacích stanic při objevení se meteoru a tmavší čáry, kde byl naposledy viděn. Modrá šipka značí viditelnou dráhu meteoru.

static map
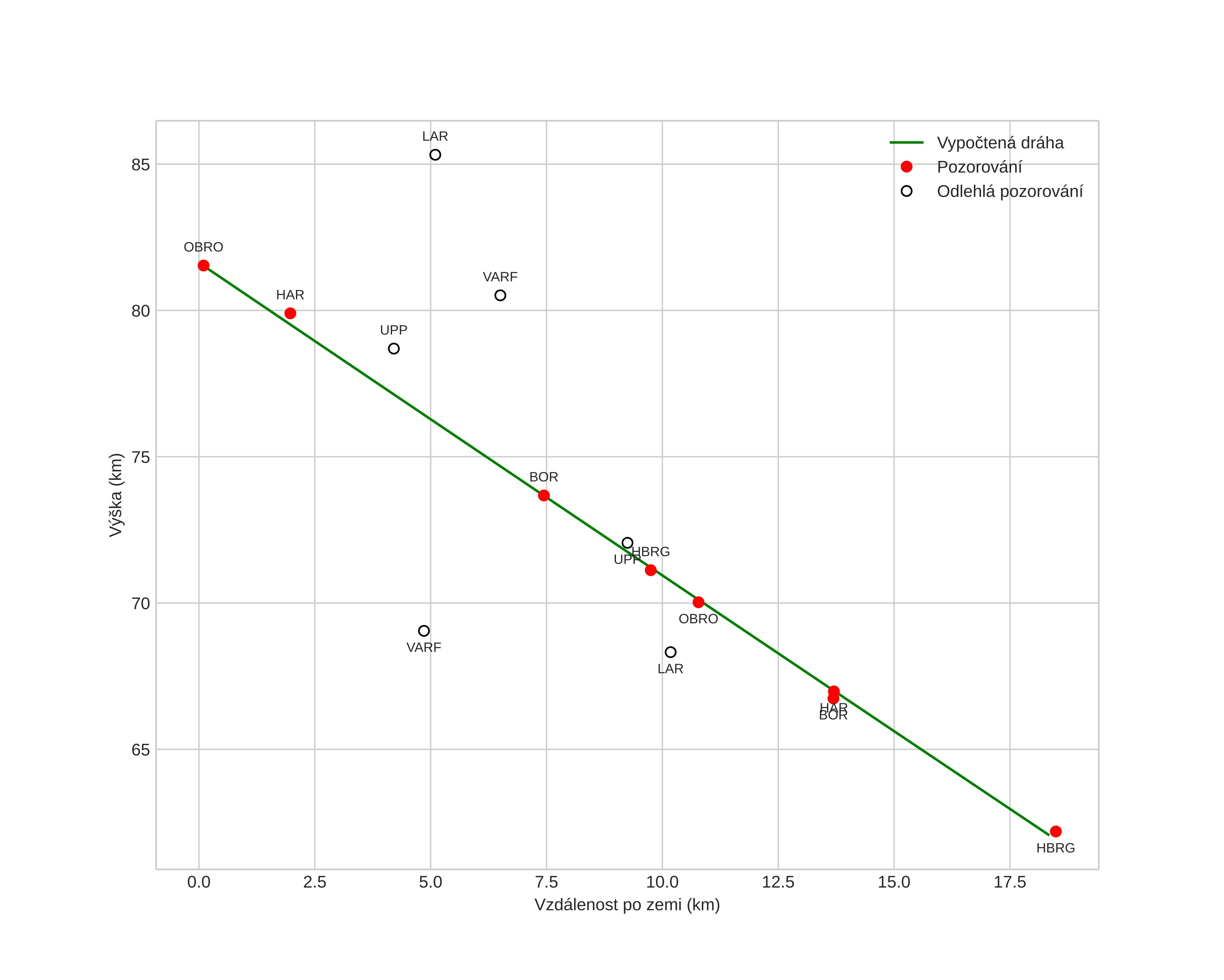
height profile
Atmosférická dráha meteoru:
Počáteční výška: 81,6 km
Konečná výška: 62,1 km
Počáteční poloha: 59,340N 12,286E
Konečná poloha: 59,486N 12,437E
Směr: 27,7°
Sklon: 46,8°
VstupnĂ­ rychlost: 31,2 km/s
Rektascenze radiantu: 00:22 (5,7°)
Deklinace radiantu: 16,8°
MeteorickĂ˝ roj: sporadickĂ˝
Elementy dráhy meteoroidu:
Vzdálenost v periheliu: 0,315 AU
Excentricita: 0,826
Sklon dráhy: 17,3°
Délka vzestupného uzlu: 175,3°
Argument perihelia: 301,2°
Střední anomálie: 342,5°
Epocha: 2020 SEP 18 01:06:55
orbit plot

NeinteraktivnĂ­ graf | InteraktivnĂ­ graf

position vs time
speed and acceleration