🇳🇴 🇬🇧 🇩🇪 🇨🇿 🇫🇮

Meteor Arvikan yllä 2020-09-18 01:06:55 UTC

KML-tiedosto  |  Interaktiivinen kartta

Kartta näyttää meteorin suuntahavainnot. Vaaleammat viivat näyttävät suunnat havaintoasemilta meteorin ilmestyessä, ja tummemmat viivat näyttävät, missä se viimeksi nähtiin. Sininen nuoli näyttää meteorin näkyvän lennon.

static map
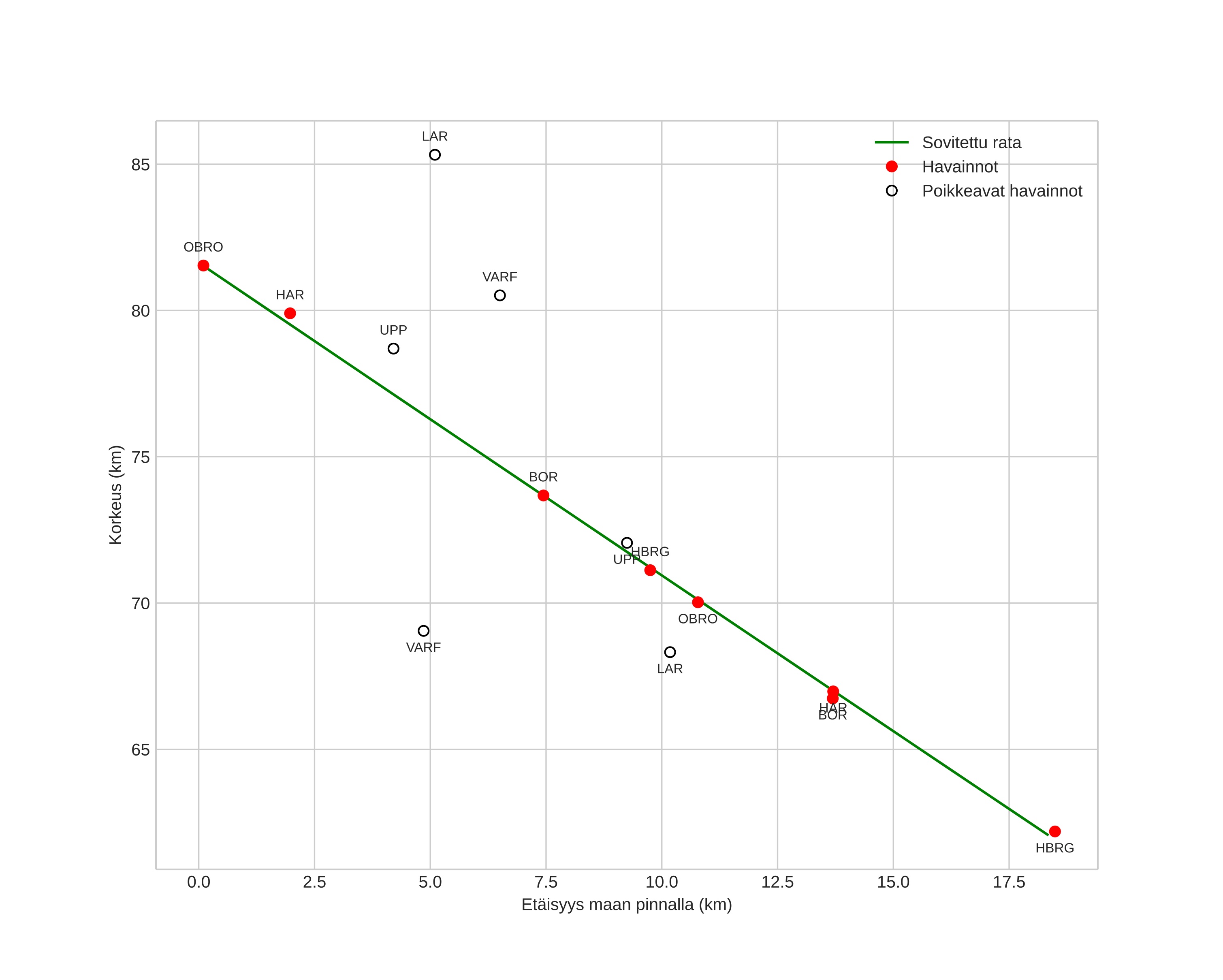
height profile
Meteorin ilmakehärata:
Alkukorkeus: 81,6 km
Loppukorkeus: 62,1 km
Alkupiste: 59,340N 12,286E
Loppupiste: 59,486N 12,437E
Suunta: 27,7°
Kallistuskulma: 46,8°
Tulonopeus: 31,2 km/s
Radiantin R,A,: 00:22 (5,7°)
Radiantin Dekl,: 16,8°
Meteoriparvi: Sporadinen
Meteoroidin rataelementit:
Perihelietäisyys: 0,315 AU
Eksentrisyys: 0,826
Inklinaatio: 17,3°
Nousevan solmun pituus: 175,3°
Perihelin argumentti: 301,2°
Keskianomalia: 342,5°
Epookki: 2020 SEP 18 01:06:55
orbit plot

Ei-interaktiivinen kuvaaja | Interaktiivinen kuvaaja

position vs time
speed and acceleration