🇳🇴 🇬🇧 🇩🇪 🇨🇿 🇫🇮

Meteor, poloha: Ekshärad 2020-09-24 21:30:45 UTC

Soubor KML  |  InteraktivnĂ­ mapa

Mapa zobrazuje dráhy meteoru. Světlejší čáry ukazují směry od pozorovacích stanic při objevení se meteoru a tmavší čáry, kde byl naposledy viděn. Modrá šipka značí viditelnou dráhu meteoru.

static map
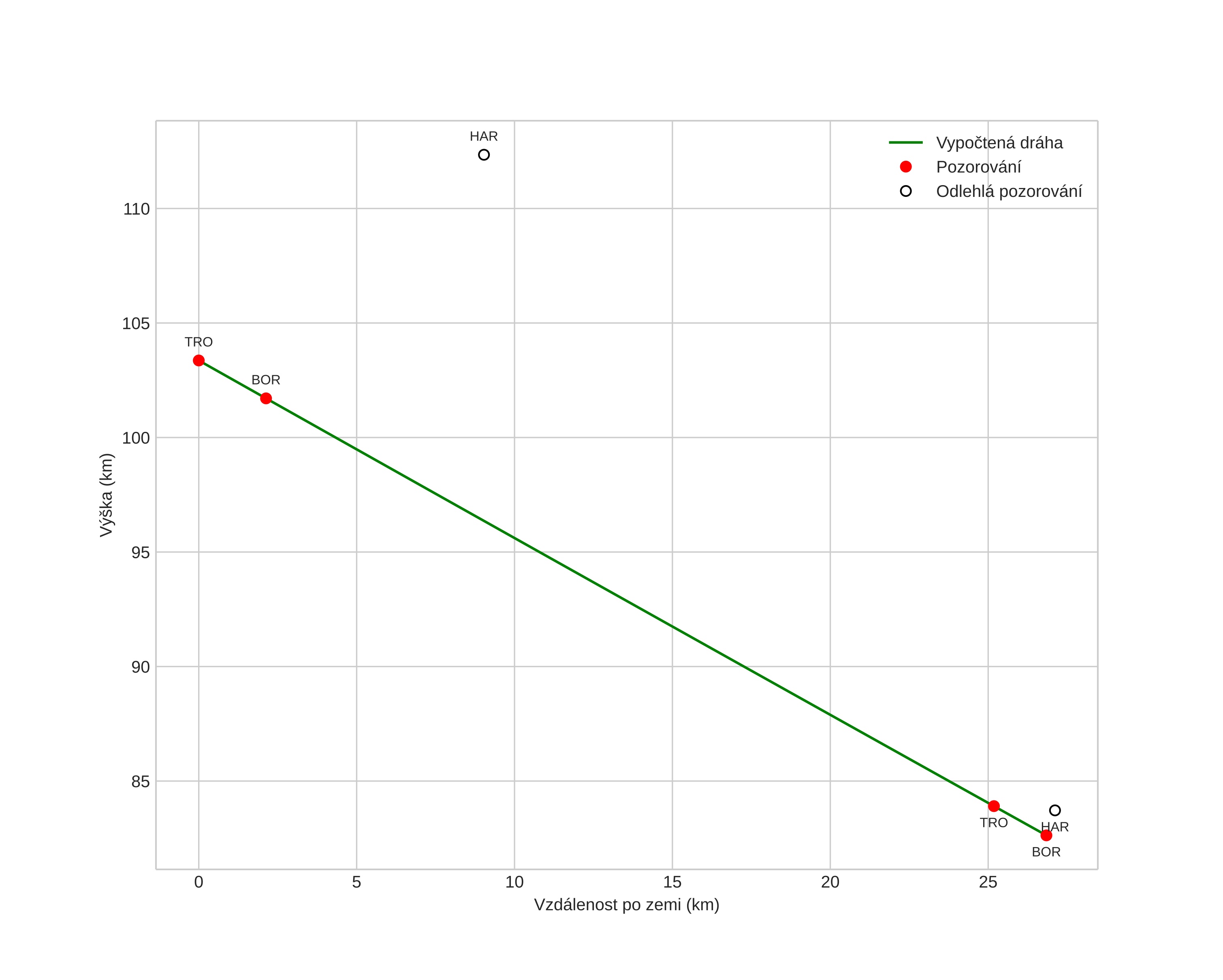
height profile
Atmosférická dráha meteoru:
Počáteční výška: 103,5 km
Konečná výška: 82,9 km
Počáteční poloha: 60,456N 13,715E
Konečná poloha: 60,305N 13,352E
Směr: 230,1°
Sklon: 38,3°
VstupnĂ­ rychlost: 68,0 km/s
Rektascenze radiantu: 05:31 (82,8°)
Deklinace radiantu: 51,8°
MeteorickĂ˝ roj: sporadickĂ˝
Elementy dráhy meteoroidu:
Vzdálenost v periheliu: 0,974 AU
Excentricita: 1,152
Sklon dráhy: 132,0°
Délka vzestupného uzlu: 182,0°
Argument perihelia: 199,0°
Střední anomálie: -0,8°
Epocha: 2020 SEP 24 21:30:45
orbit plot

NeinteraktivnĂ­ graf | InteraktivnĂ­ graf

position vs time
speed and acceleration