🇳🇴 🇬🇧 🇩🇪 🇨🇿 🇫🇮

Meteor Ekshäradin yllä 2020-09-24 21:30:45 UTC

KML-tiedosto  |  Interaktiivinen kartta

Kartta näyttää meteorin suuntahavainnot. Vaaleammat viivat näyttävät suunnat havaintoasemilta meteorin ilmestyessä, ja tummemmat viivat näyttävät, missä se viimeksi nähtiin. Sininen nuoli näyttää meteorin näkyvän lennon.

static map
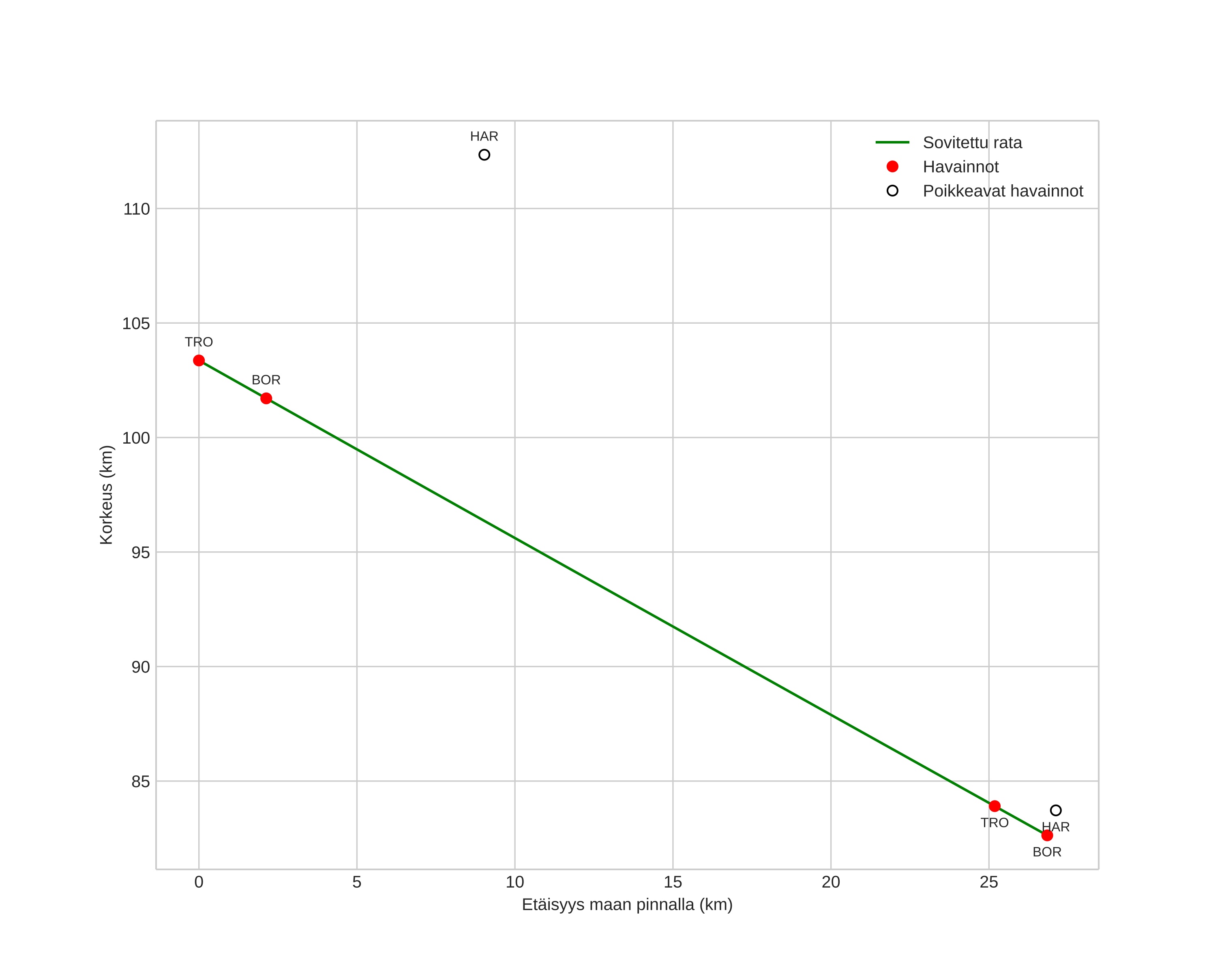
height profile
Meteorin ilmakehärata:
Alkukorkeus: 103,5 km
Loppukorkeus: 82,9 km
Alkupiste: 60,456N 13,715E
Loppupiste: 60,305N 13,352E
Suunta: 230,1°
Kallistuskulma: 38,3°
Tulonopeus: 68,0 km/s
Radiantin R,A,: 05:31 (82,8°)
Radiantin Dekl,: 51,8°
Meteoriparvi: Sporadinen
Meteoroidin rataelementit:
Perihelietäisyys: 0,974 AU
Eksentrisyys: 1,152
Inklinaatio: 132,0°
Nousevan solmun pituus: 182,0°
Perihelin argumentti: 199,0°
Keskianomalia: -0,8°
Epookki: 2020 SEP 24 21:30:45
orbit plot

Ei-interaktiivinen kuvaaja | Interaktiivinen kuvaaja

position vs time
speed and acceleration