🇳🇴 🇬🇧 🇩🇪 🇨🇿 🇫🇮

Meteor, poloha: Meieribyen 2020-10-13 21:39:54 UTC

Soubor KML  |  InteraktivnĂ­ mapa

Mapa zobrazuje dráhy meteoru. Světlejší čáry ukazují směry od pozorovacích stanic při objevení se meteoru a tmavší čáry, kde byl naposledy viděn. Modrá šipka značí viditelnou dráhu meteoru.

static map
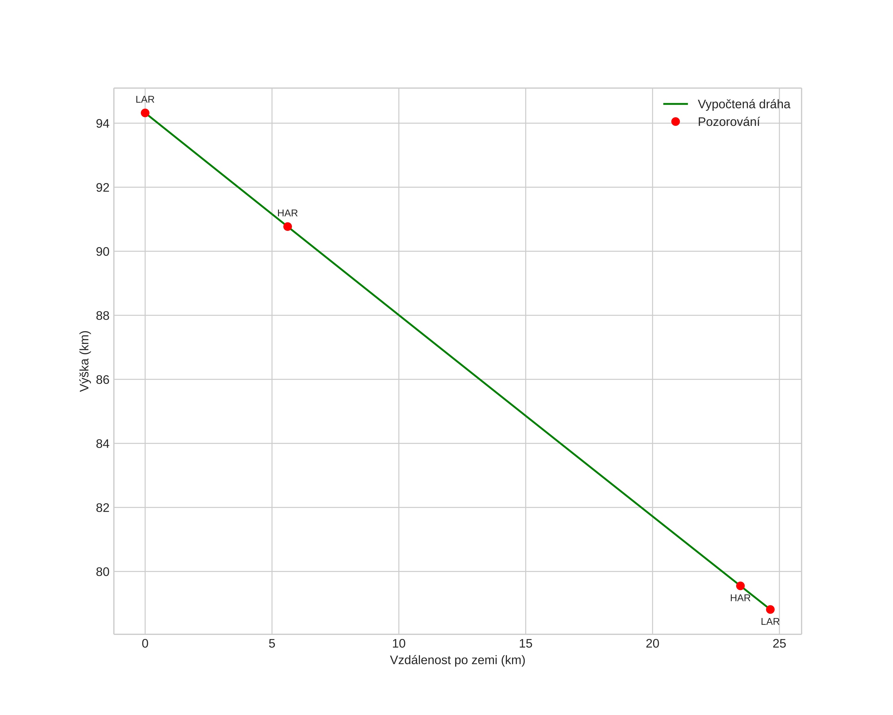
height profile
Atmosférická dráha meteoru:
Počáteční výška: 91,2 km
Konečná výška: 78,4 km
Počáteční poloha: 59,549N 10,993E
Konečná poloha: 59,426N 11,241E
Směr: 134,1°
Sklon: 33,2°
VstupnĂ­ rychlost: 23,9 km/s
Rektascenze radiantu: 16:21 (245,4°)
Deklinace radiantu: 46,6°
MeteorickĂ˝ roj: sporadickĂ˝
Elementy dráhy meteoroidu:
Vzdálenost v periheliu: 0,957 AU
Excentricita: 0,756
Sklon dráhy: 30,4°
Délka vzestupného uzlu: 200,7°
Argument perihelia: 154,9°
Střední anomálie: 2,4°
Epocha: 2020 OCT 13 21:39:54
orbit plot

NeinteraktivnĂ­ graf | InteraktivnĂ­ graf

position vs time
speed and acceleration