🇳🇴 🇬🇧 🇩🇪 🇨🇿 🇫🇮

Meteor Meieribyenin yllä 2020-10-13 21:39:54 UTC

KML-tiedosto  |  Interaktiivinen kartta

Kartta näyttää meteorin suuntahavainnot. Vaaleammat viivat näyttävät suunnat havaintoasemilta meteorin ilmestyessä, ja tummemmat viivat näyttävät, missä se viimeksi nähtiin. Sininen nuoli näyttää meteorin näkyvän lennon.

static map
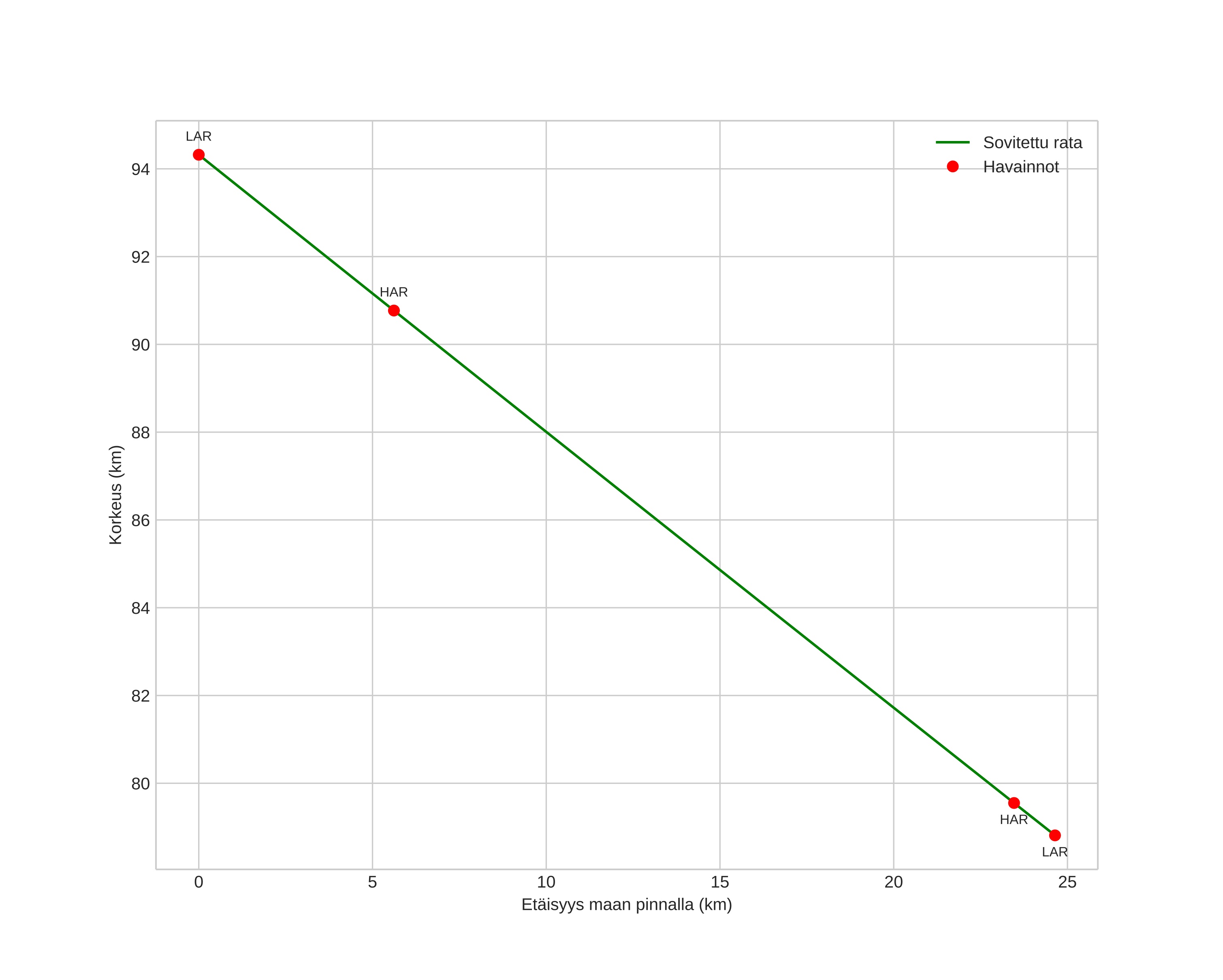
height profile
Meteorin ilmakehärata:
Alkukorkeus: 91,2 km
Loppukorkeus: 78,4 km
Alkupiste: 59,549N 10,993E
Loppupiste: 59,426N 11,241E
Suunta: 134,1°
Kallistuskulma: 33,2°
Tulonopeus: 23,9 km/s
Radiantin R,A,: 16:21 (245,4°)
Radiantin Dekl,: 46,6°
Meteoriparvi: Sporadinen
Meteoroidin rataelementit:
Perihelietäisyys: 0,957 AU
Eksentrisyys: 0,756
Inklinaatio: 30,4°
Nousevan solmun pituus: 200,7°
Perihelin argumentti: 154,9°
Keskianomalia: 2,4°
Epookki: 2020 OCT 13 21:39:54
orbit plot

Ei-interaktiivinen kuvaaja | Interaktiivinen kuvaaja

position vs time
speed and acceleration