🇳🇴 🇬🇧 🇩🇪 🇨🇿 🇫🇮

Meteor, poloha: Leksand 2020-10-14 20:40:24 UTC

Soubor KML  |  InteraktivnĂ­ mapa

Mapa zobrazuje dráhy meteoru. Světlejší čáry ukazují směry od pozorovacích stanic při objevení se meteoru a tmavší čáry, kde byl naposledy viděn. Modrá šipka značí viditelnou dráhu meteoru.

static map
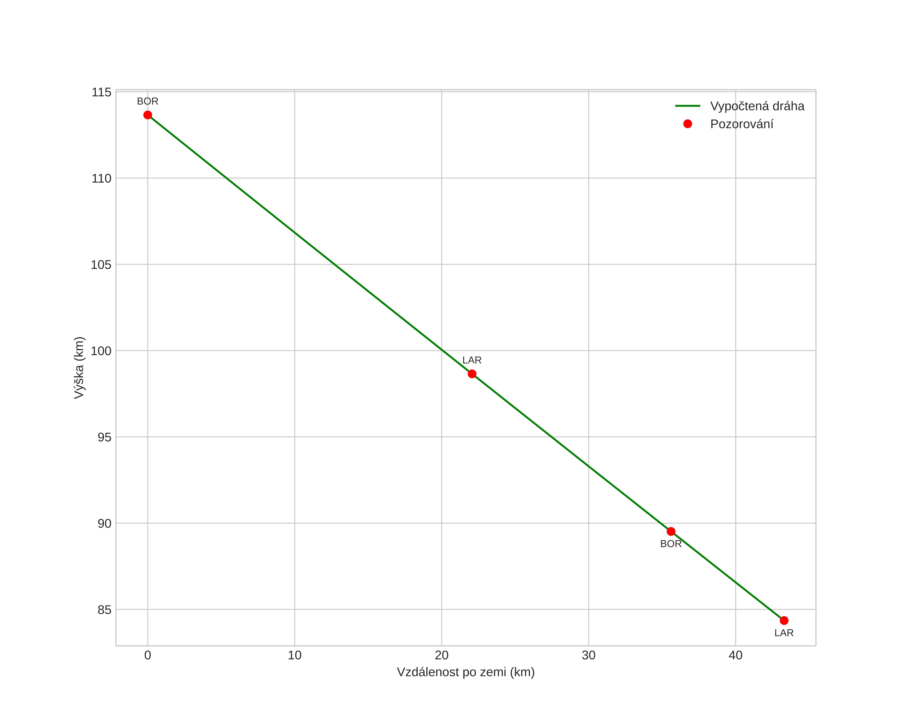
height profile
Atmosférická dráha meteoru:
Počáteční výška: 112,3 km
Konečná výška: 83,6 km
Počáteční poloha: 61,015N 15,380E
Konečná poloha: 60,695N 14,928E
Směr: 214,7°
Sklon: 33,7°
VstupnĂ­ rychlost: 60,0 km/s
Rektascenze radiantu: 07:36 (114,2°)
Deklinace radiantu: 54,4°
MeteorickĂ˝ roj: sporadickĂ˝
Elementy dráhy meteoroidu:
Vzdálenost v periheliu: 0,973 AU
Excentricita: 0,585
Sklon dráhy: 121,9°
Délka vzestupného uzlu: 201,7°
Argument perihelia: 201,0°
Střední anomálie: 355,5°
Epocha: 2020 OCT 14 20:40:24
orbit plot

NeinteraktivnĂ­ graf | InteraktivnĂ­ graf

position vs time
speed and acceleration