🇳🇴 🇬🇧 🇩🇪 🇨🇿 🇫🇮

Meteor Leksandin yllä 2020-10-14 20:40:24 UTC

KML-tiedosto  |  Interaktiivinen kartta

Kartta näyttää meteorin suuntahavainnot. Vaaleammat viivat näyttävät suunnat havaintoasemilta meteorin ilmestyessä, ja tummemmat viivat näyttävät, missä se viimeksi nähtiin. Sininen nuoli näyttää meteorin näkyvän lennon.

static map
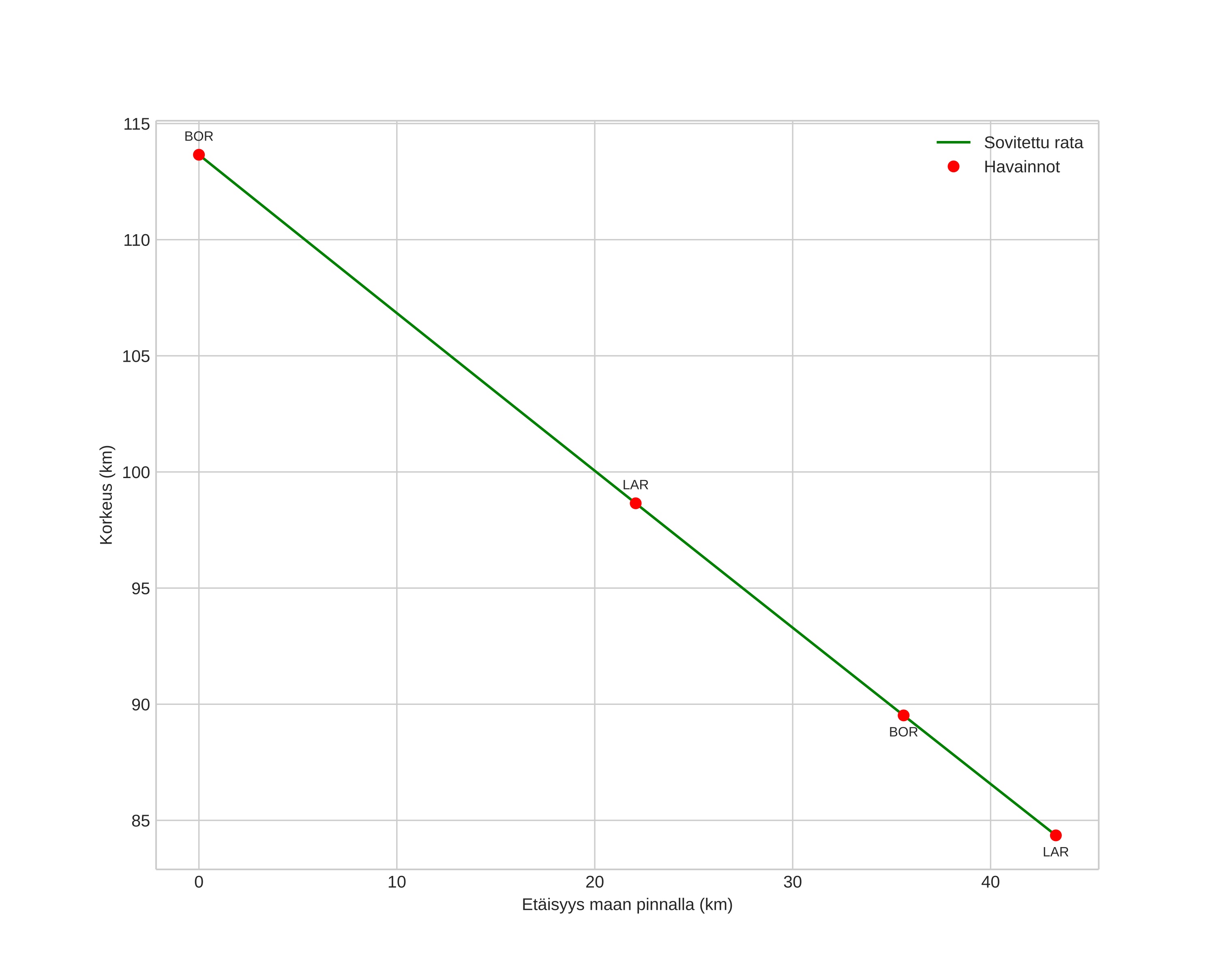
height profile
Meteorin ilmakehärata:
Alkukorkeus: 112,3 km
Loppukorkeus: 83,6 km
Alkupiste: 61,015N 15,380E
Loppupiste: 60,695N 14,928E
Suunta: 214,7°
Kallistuskulma: 33,7°
Tulonopeus: 60,0 km/s
Radiantin R,A,: 07:36 (114,2°)
Radiantin Dekl,: 54,4°
Meteoriparvi: Sporadinen
Meteoroidin rataelementit:
Perihelietäisyys: 0,973 AU
Eksentrisyys: 0,585
Inklinaatio: 121,9°
Nousevan solmun pituus: 201,7°
Perihelin argumentti: 201,0°
Keskianomalia: 355,5°
Epookki: 2020 OCT 14 20:40:24
orbit plot

Ei-interaktiivinen kuvaaja | Interaktiivinen kuvaaja

position vs time
speed and acceleration