🇳🇴 🇬🇧 🇩🇪 🇨🇿 🇫🇮

Meteor, poloha: Hønefoss 2020-10-15 03:34:06 UTC

Soubor KML  |  InteraktivnĂ­ mapa

Mapa zobrazuje dráhy meteoru. Světlejší čáry ukazují směry od pozorovacích stanic při objevení se meteoru a tmavší čáry, kde byl naposledy viděn. Modrá šipka značí viditelnou dráhu meteoru.

static map
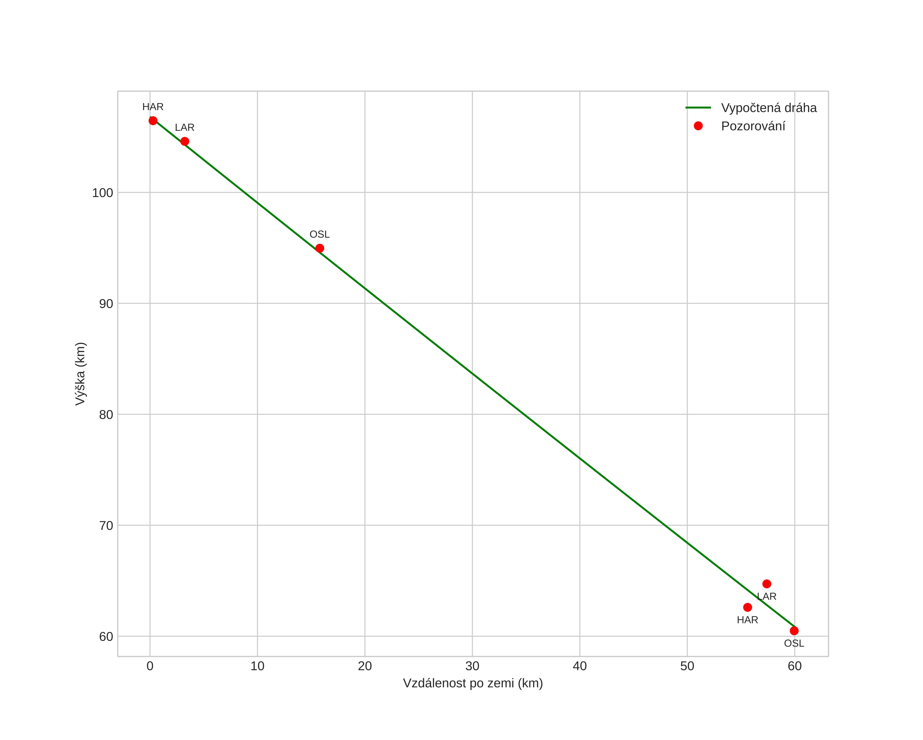
height profile
Atmosférická dráha meteoru:
Počáteční výška: 89,1 km
Konečná výška: 33,8 km
Počáteční poloha: 60,418N 8,853E
Konečná poloha: 60,441N 10,118E
Směr: 87,4°
Sklon: 38,5°
VstupnĂ­ rychlost: 37,1 km/s
Rektascenze radiantu: 01:14 (18,6°)
Deklinace radiantu: 30,2°
MeteorickĂ˝ roj: sporadickĂ˝
Elementy dráhy meteoroidu:
Vzdálenost v periheliu: 0,443 AU
Excentricita: 1,083
Sklon dráhy: 25,9°
Délka vzestupného uzlu: 202,0°
Argument perihelia: 274,0°
Střední anomálie: -2,9°
Epocha: 2020 OCT 15 03:34:06
orbit plot

NeinteraktivnĂ­ graf | InteraktivnĂ­ graf

position vs time
speed and acceleration