🇳🇴 🇬🇧 🇩🇪 🇨🇿 🇫🇮

Meteor Hønefossin yllä 2020-10-15 03:34:06 UTC

KML-tiedosto  |  Interaktiivinen kartta

Kartta näyttää meteorin suuntahavainnot. Vaaleammat viivat näyttävät suunnat havaintoasemilta meteorin ilmestyessä, ja tummemmat viivat näyttävät, missä se viimeksi nähtiin. Sininen nuoli näyttää meteorin näkyvän lennon.

static map
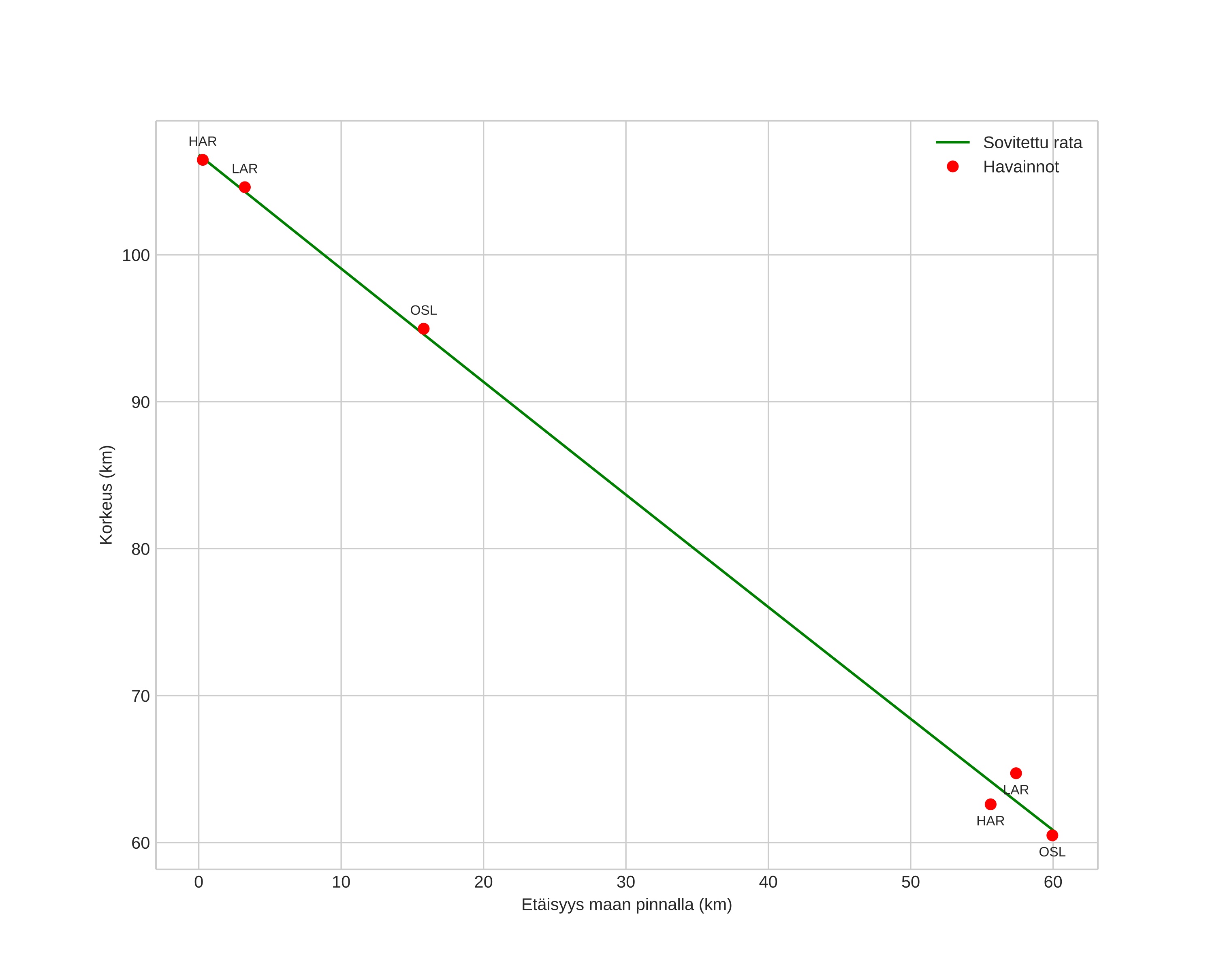
height profile
Meteorin ilmakehärata:
Alkukorkeus: 89,1 km
Loppukorkeus: 33,8 km
Alkupiste: 60,418N 8,853E
Loppupiste: 60,441N 10,118E
Suunta: 87,4°
Kallistuskulma: 38,5°
Tulonopeus: 37,1 km/s
Radiantin R,A,: 01:14 (18,6°)
Radiantin Dekl,: 30,2°
Meteoriparvi: Sporadinen
Meteoroidin rataelementit:
Perihelietäisyys: 0,443 AU
Eksentrisyys: 1,083
Inklinaatio: 25,9°
Nousevan solmun pituus: 202,0°
Perihelin argumentti: 274,0°
Keskianomalia: -2,9°
Epookki: 2020 OCT 15 03:34:06
orbit plot

Ei-interaktiivinen kuvaaja | Interaktiivinen kuvaaja

position vs time
speed and acceleration