🇳🇴 🇬🇧 🇩🇪 🇨🇿 🇫🇮

Meteor, poloha: Moelv 2020-10-15 04:28:46 UTC

Soubor KML  |  InteraktivnĂ­ mapa

Mapa zobrazuje dráhy meteoru. Světlejší čáry ukazují směry od pozorovacích stanic při objevení se meteoru a tmavší čáry, kde byl naposledy viděn. Modrá šipka značí viditelnou dráhu meteoru.

static map
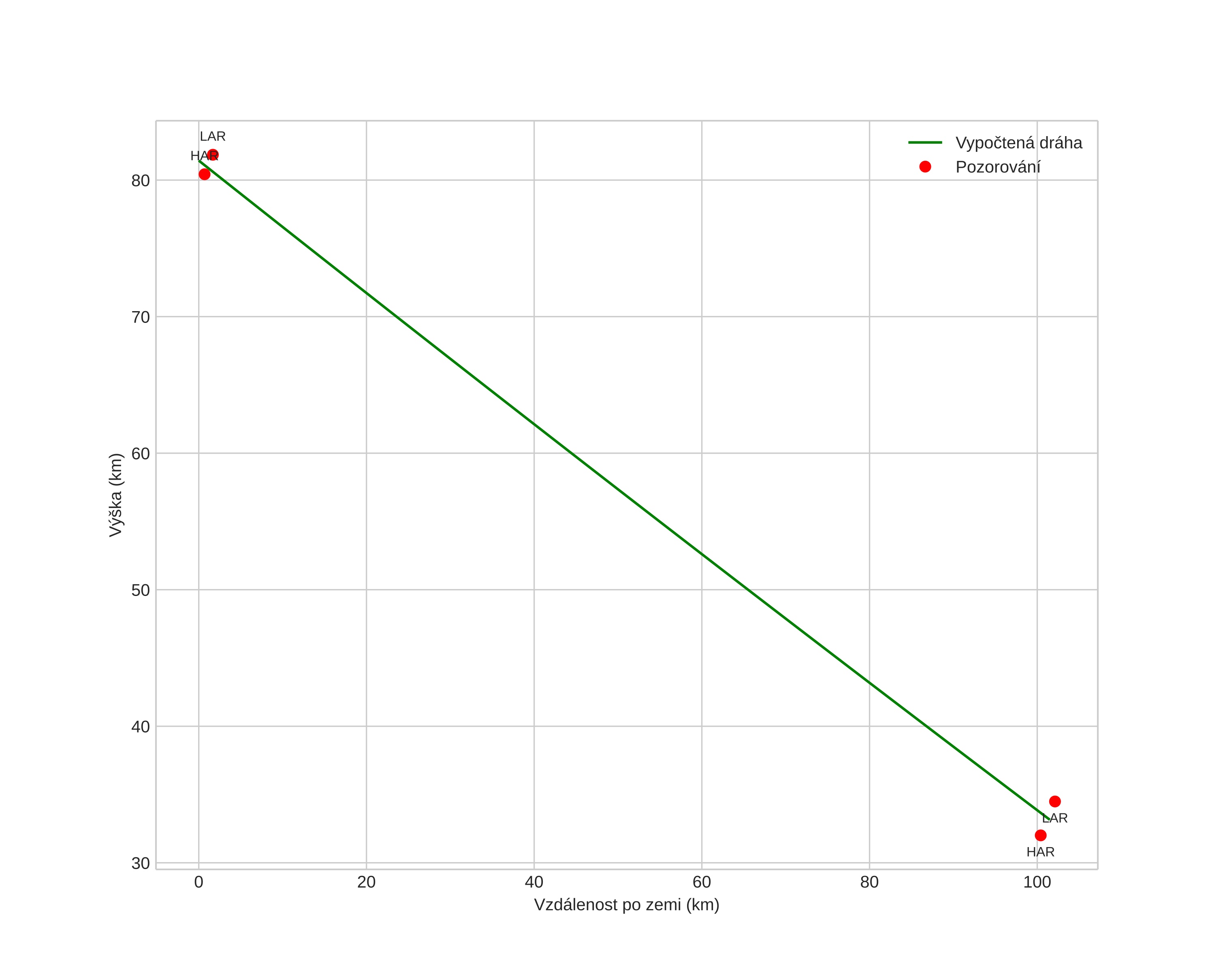
height profile
Atmosférická dráha meteoru:
Počáteční výška: 82,0 km
Konečná výška: 33,5 km
Počáteční poloha: 61,902N 10,040E
Konečná poloha: 61,022N 10,591E
Směr: 163,1°
Sklon: 25,4°
VstupnĂ­ rychlost: 73,0 km/s
Rektascenze radiantu: 20:25 (306,4°)
Deklinace radiantu: 51,2°
MeteorickĂ˝ roj: sporadickĂ˝
Elementy dráhy meteoroidu:
Vzdálenost v periheliu: 0,962 AU
Excentricita: 7,026
Sklon dráhy: 52,8°
Délka vzestupného uzlu: 202,0°
Argument perihelia: 196,4°
Střední anomálie: -87,7°
Epocha: 2020 OCT 15 04:28:46
orbit plot

NeinteraktivnĂ­ graf | InteraktivnĂ­ graf

position vs time
speed and acceleration