🇳🇴 🇬🇧 🇩🇪 🇨🇿 🇫🇮

Meteor Moelvin yllä 2020-10-15 04:28:46 UTC

KML-tiedosto  |  Interaktiivinen kartta

Kartta näyttää meteorin suuntahavainnot. Vaaleammat viivat näyttävät suunnat havaintoasemilta meteorin ilmestyessä, ja tummemmat viivat näyttävät, missä se viimeksi nähtiin. Sininen nuoli näyttää meteorin näkyvän lennon.

static map
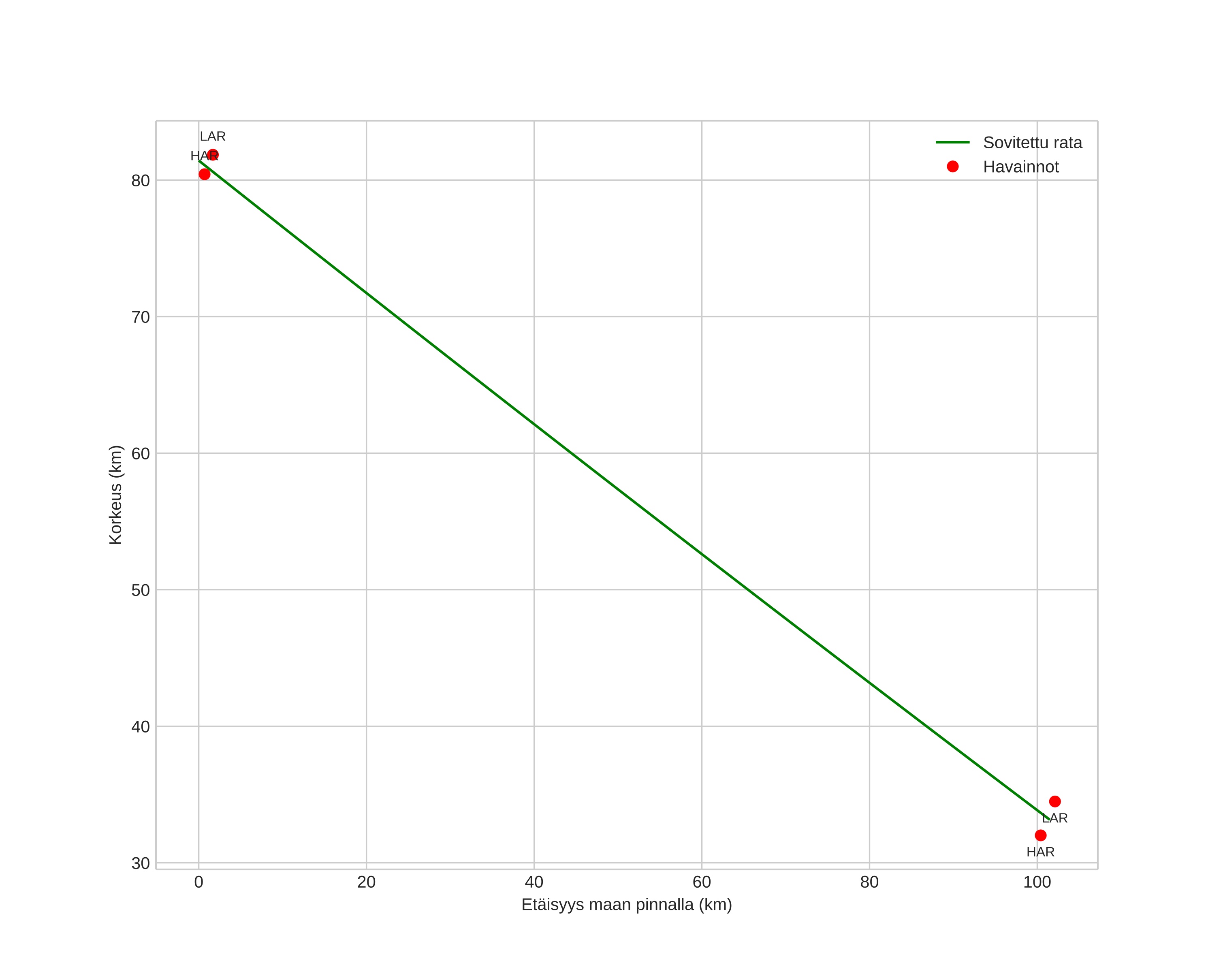
height profile
Meteorin ilmakehärata:
Alkukorkeus: 82,0 km
Loppukorkeus: 33,5 km
Alkupiste: 61,902N 10,040E
Loppupiste: 61,022N 10,591E
Suunta: 163,1°
Kallistuskulma: 25,4°
Tulonopeus: 73,0 km/s
Radiantin R,A,: 20:25 (306,4°)
Radiantin Dekl,: 51,2°
Meteoriparvi: Sporadinen
Meteoroidin rataelementit:
Perihelietäisyys: 0,962 AU
Eksentrisyys: 7,026
Inklinaatio: 52,8°
Nousevan solmun pituus: 202,0°
Perihelin argumentti: 196,4°
Keskianomalia: -87,7°
Epookki: 2020 OCT 15 04:28:46
orbit plot

Ei-interaktiivinen kuvaaja | Interaktiivinen kuvaaja

position vs time
speed and acceleration