🇳🇴 🇬🇧 🇩🇪 🇨🇿 🇫🇮

Meteor, poloha: Hareid 2020-10-16 00:06:42 UTC

Soubor KML  |  InteraktivnĂ­ mapa

Mapa zobrazuje dráhy meteoru. Světlejší čáry ukazují směry od pozorovacích stanic při objevení se meteoru a tmavší čáry, kde byl naposledy viděn. Modrá šipka značí viditelnou dráhu meteoru.

static map
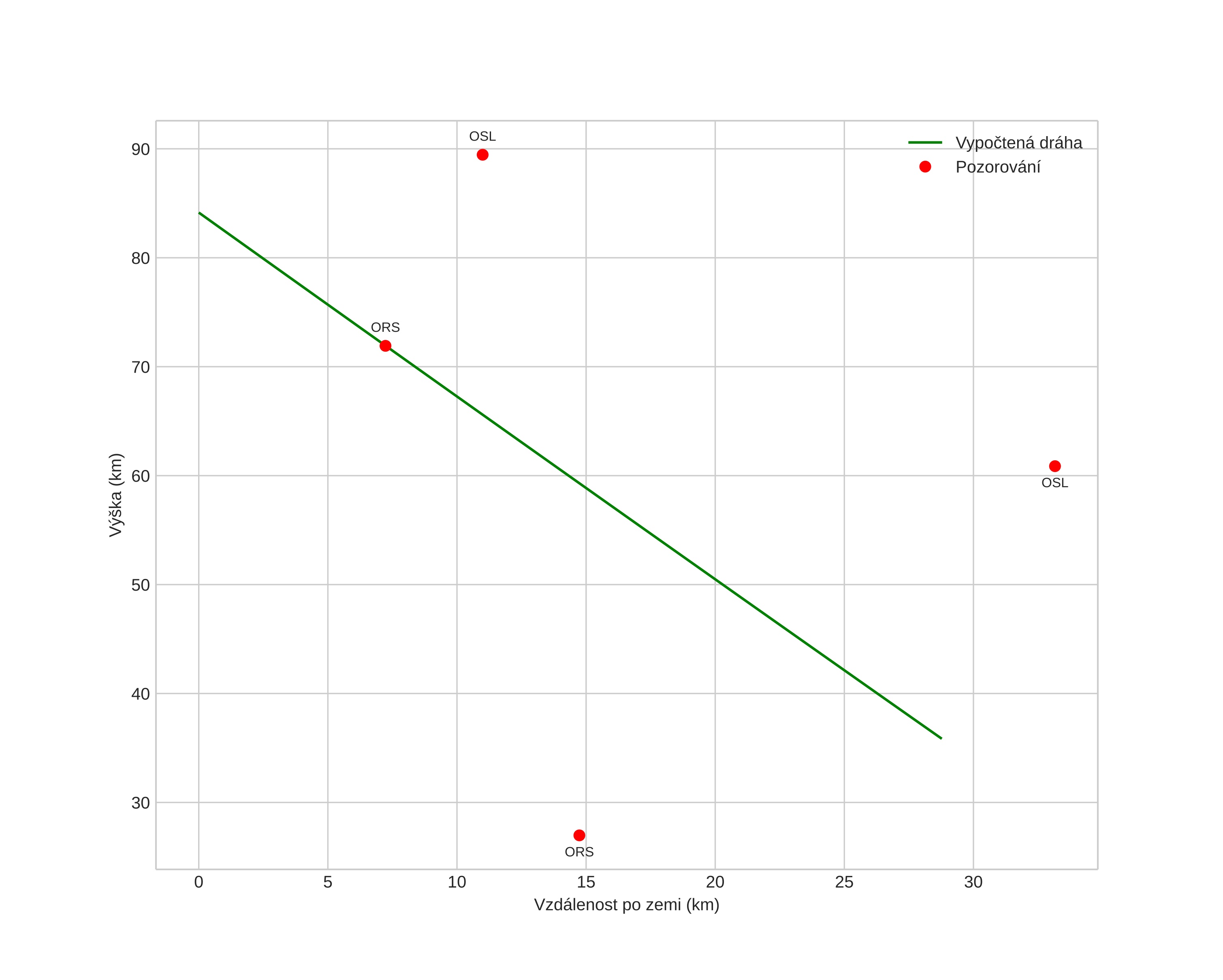
height profile
Atmosférická dráha meteoru:
Počáteční výška: 78,4 km
Konečná výška: 37,7 km
Počáteční poloha: 62,459N 6,474E
Konečná poloha: 62,446N 5,977E
Směr: 266,9°
Sklon: 57,8°
VstupnĂ­ rychlost: 54,6 km/s
Rektascenze radiantu: 05:52 (88,1°)
Deklinace radiantu: 49,6°
MeteorickĂ˝ roj: Delta Aurigidy
Elementy dráhy meteoroidu:
Vzdálenost v periheliu: 0,509 AU
Excentricita: 0,637
Sklon dráhy: 120,4°
Délka vzestupného uzlu: 202,8°
Argument perihelia: 285,0°
Střední anomálie: 329,4°
Epocha: 2020 OCT 16 00:06:42
orbit plot

NeinteraktivnĂ­ graf | InteraktivnĂ­ graf

position vs time
speed and acceleration