🇳🇴 🇬🇧 🇩🇪 🇨🇿 🇫🇮

Meteor Hareidin yllä 2020-10-16 00:06:42 UTC

KML-tiedosto  |  Interaktiivinen kartta

Kartta näyttää meteorin suuntahavainnot. Vaaleammat viivat näyttävät suunnat havaintoasemilta meteorin ilmestyessä, ja tummemmat viivat näyttävät, missä se viimeksi nähtiin. Sininen nuoli näyttää meteorin näkyvän lennon.

static map
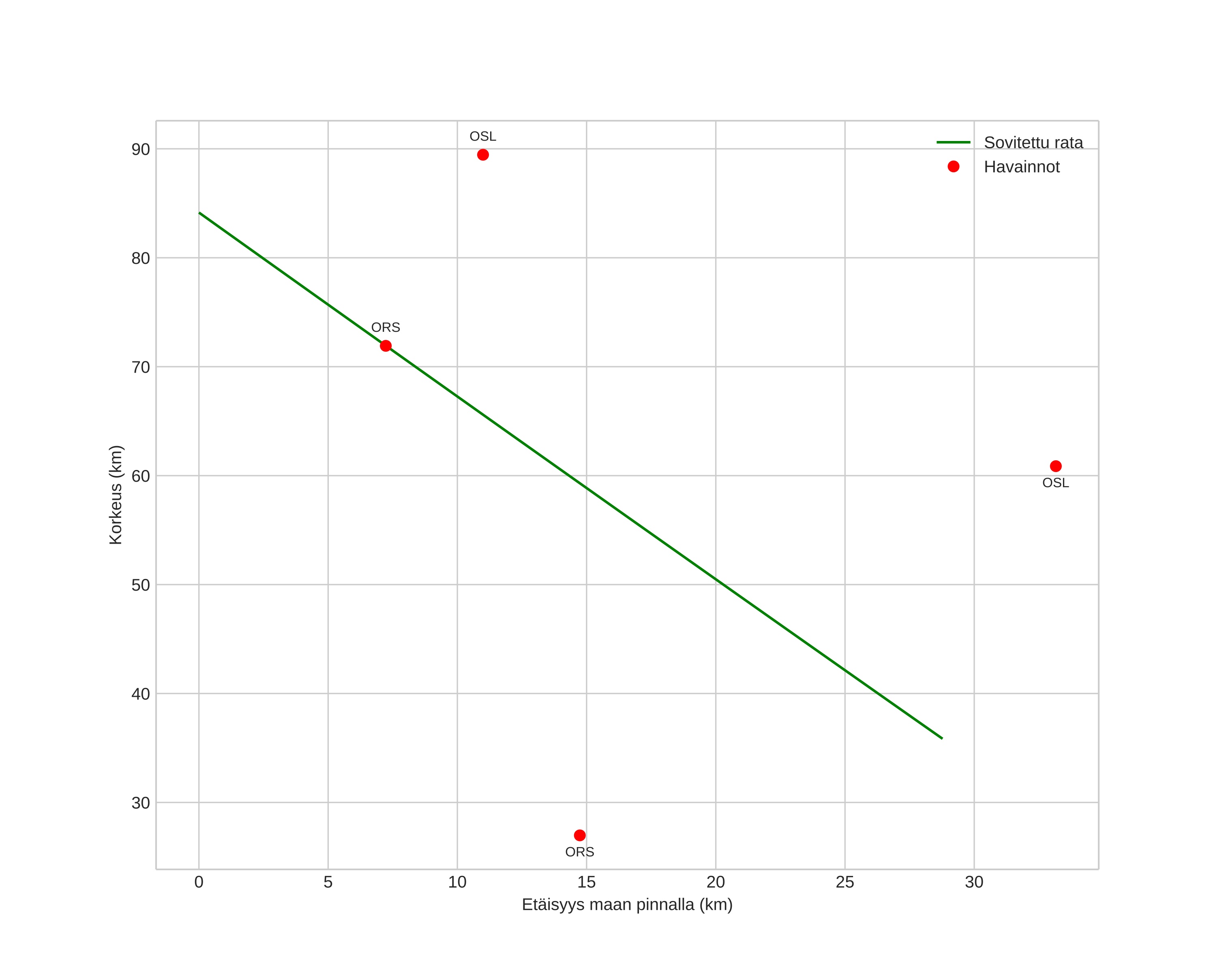
height profile
Meteorin ilmakehärata:
Alkukorkeus: 78,4 km
Loppukorkeus: 37,7 km
Alkupiste: 62,459N 6,474E
Loppupiste: 62,446N 5,977E
Suunta: 266,9°
Kallistuskulma: 57,8°
Tulonopeus: 54,6 km/s
Radiantin R,A,: 05:52 (88,1°)
Radiantin Dekl,: 49,6°
Meteoriparvi: Delta-aurigidit
Meteoroidin rataelementit:
Perihelietäisyys: 0,509 AU
Eksentrisyys: 0,637
Inklinaatio: 120,4°
Nousevan solmun pituus: 202,8°
Perihelin argumentti: 285,0°
Keskianomalia: 329,4°
Epookki: 2020 OCT 16 00:06:42
orbit plot

Ei-interaktiivinen kuvaaja | Interaktiivinen kuvaaja

position vs time
speed and acceleration