🇳🇴 🇬🇧 🇩🇪 🇨🇿 🇫🇮

Meteor, poloha: Ålbæk 2020-10-17 22:51:43 UTC

Harestua – 4
Harestua – 4
Kristiansand – 2
Kristiansand – 2
Kristiansand – 3
Kristiansand – 3
Voksenlia – 1
Voksenlia – 1

Soubor KML  | Interaktivní mapa

map

Mapa zobrazuje dráhy meteoru. Světlejší čáry ukazují směry od pozorovacích stanic při objevení se meteoru a tmavší čáry, kde byl naposledy viděn. Modrá šipka značí viditelnou dráhu meteoru.

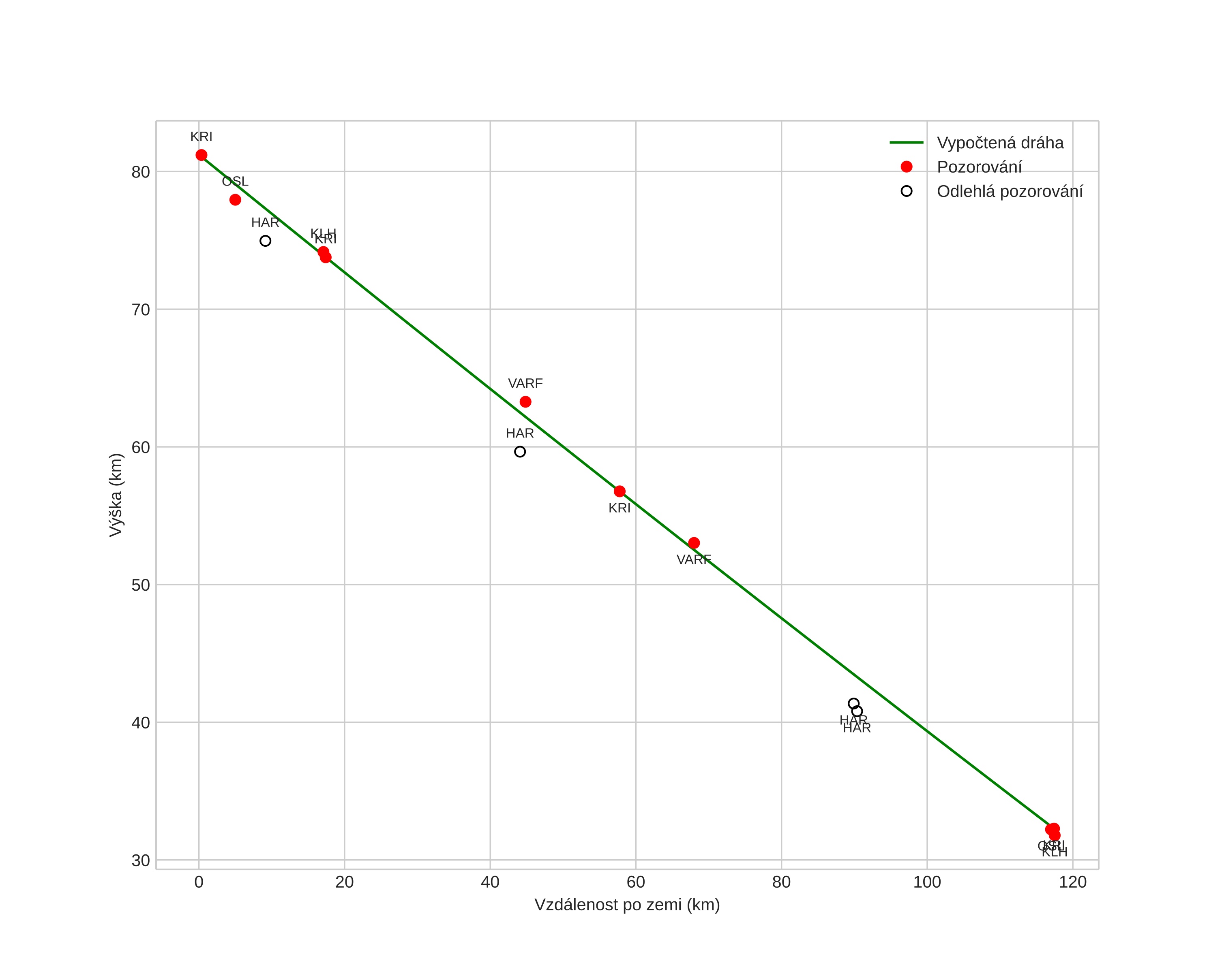
height profile
Atmosférická dráha meteoru:
Počáteční výška: 81,7 km
Konečná výška: 30,4 km
Počáteční poloha: 58,098N 8,268E
Konečná poloha: 57,832N 10,253E
Směr: 103,4°
Sklon: 23,0°
Vstupní rychlost: 14,0 km/s
Rektascenze radiantu: 18:37 (279,3°)
Deklinace radiantu: 11,2°
Meteorický roj: sporadický
Elementy dráhy meteoroidu:
Vzdálenost v periheliu: 0,995 AU
Excentricita: 0,572
Sklon dráhy: 7,7°
Délka vzestupného uzlu: 204,7°
Argument perihelia: 174,8°
Střední anomálie: 1,2°
Epocha: 2020 OCT 17 22:51:43
orbit

Neinteraktivní graf | Interaktivní graf

position vs time
speed & acceleration