🇳🇴 🇬🇧 🇩🇪 🇨🇿 🇫🇮

Meteor über Ålbæk 2020-10-17 22:51:43 UTC

Harestua – 4
Harestua – 4
Kristiansand – 2
Kristiansand – 2
Kristiansand – 3
Kristiansand – 3
Voksenlia – 1
Voksenlia – 1

KML-Datei  | Interaktive Karte

map

Die Karte zeigt die Peilungen für den Meteor. Die helleren Linien zeigen die Richtungen von den Beobachtungsorten beim Erscheinen des Meteors, und die dunkleren Linien, wo er zuletzt gesehen wurde. Der blaue Pfeil zeigt die sichtbare Bahn des Meteors.

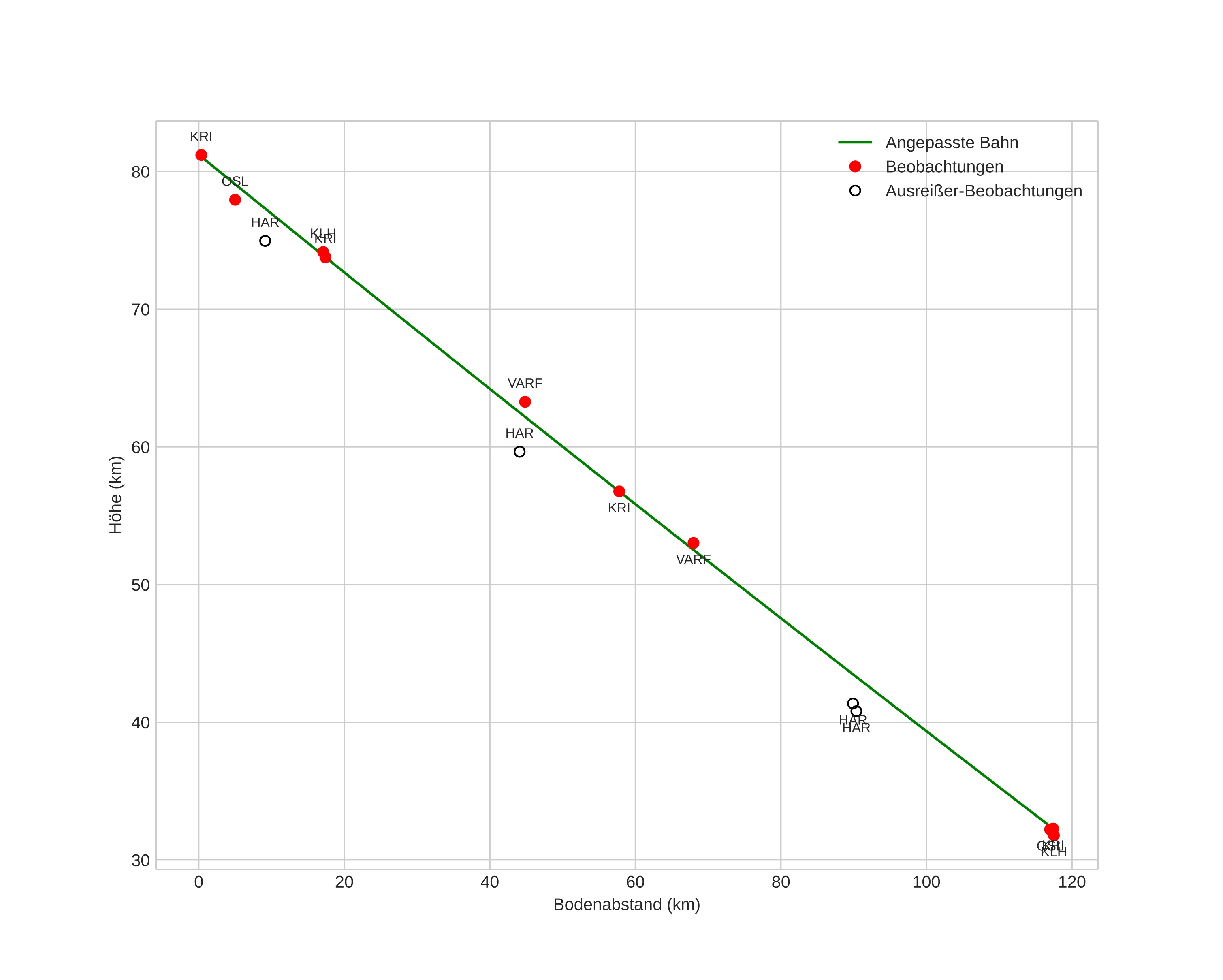
height profile
Atmosphärische Bahn des Meteors:
Anfangshöhe: 81,7 km
Endhöhe: 30,4 km
Startposition: 58,098N 8,268E
Endposition: 57,832N 10,253E
Richtung: 103,4°
Neigungswinkel: 23,0°
Eintrittsgeschwindigkeit: 14,0 km/s
Rektaszension des Radianten: 18:37 (279,3°)
Deklination des Radianten: 11,2°
Meteorstrom: sporadisch
Bahnelemente des Meteoroiden:
Periheldistanz: 0,995 AU
Exzentrizität: 0,572
Inklination: 7,7°
Länge des aufsteigenden Knotens: 204,7°
Argument des Perihels: 174,8°
Mittlere Anomalie: 1,2°
Epoche: 2020 OCT 17 22:51:43
orbit

Nicht-interaktives Diagramm | Interaktives Diagramm

position vs time
speed & acceleration