🇳🇴 🇬🇧 🇩🇪 🇨🇿 🇫🇮

Meteor, poloha: Eidfjord 2020-10-18 19:42:15 UTC

Soubor KML  |  InteraktivnĂ­ mapa

Mapa zobrazuje dráhy meteoru. Světlejší čáry ukazují směry od pozorovacích stanic při objevení se meteoru a tmavší čáry, kde byl naposledy viděn. Modrá šipka značí viditelnou dráhu meteoru.

static map
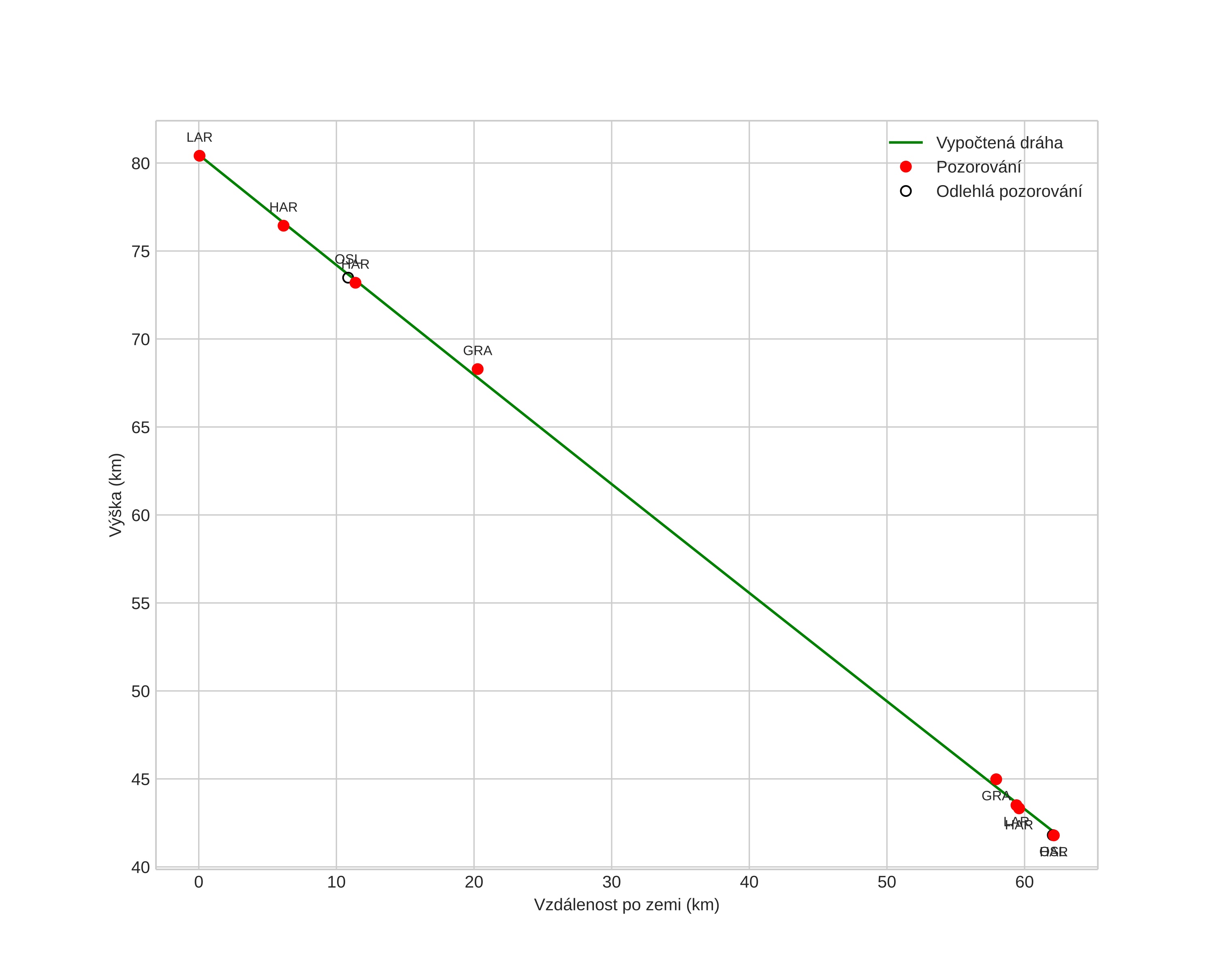
height profile
Atmosférická dráha meteoru:
Počáteční výška: 74,5 km
Konečná výška: 40,6 km
Počáteční poloha: 60,562N 6,464E
Konečná poloha: 60,415N 7,439E
Směr: 106,7°
Sklon: 31,3°
VstupnĂ­ rychlost: 15,6 km/s
Rektascenze radiantu: 15:41 (235,5°)
Deklinace radiantu: 25,3°
MeteorickĂ˝ roj: sporadickĂ˝
Elementy dráhy meteoroidu:
Vzdálenost v periheliu: 0,913 AU
Excentricita: 0,377
Sklon dráhy: 13,3°
Délka vzestupného uzlu: 205,6°
Argument perihelia: 134,1°
Střední anomálie: 20,4°
Epocha: 2020 OCT 18 19:42:15
orbit plot

NeinteraktivnĂ­ graf | InteraktivnĂ­ graf

position vs time
speed and acceleration