🇳🇴 🇬🇧 🇩🇪 🇨🇿 🇫🇮

Meteor Eidfjordin yllä 2020-10-18 19:42:15 UTC

KML-tiedosto  |  Interaktiivinen kartta

Kartta näyttää meteorin suuntahavainnot. Vaaleammat viivat näyttävät suunnat havaintoasemilta meteorin ilmestyessä, ja tummemmat viivat näyttävät, missä se viimeksi nähtiin. Sininen nuoli näyttää meteorin näkyvän lennon.

static map
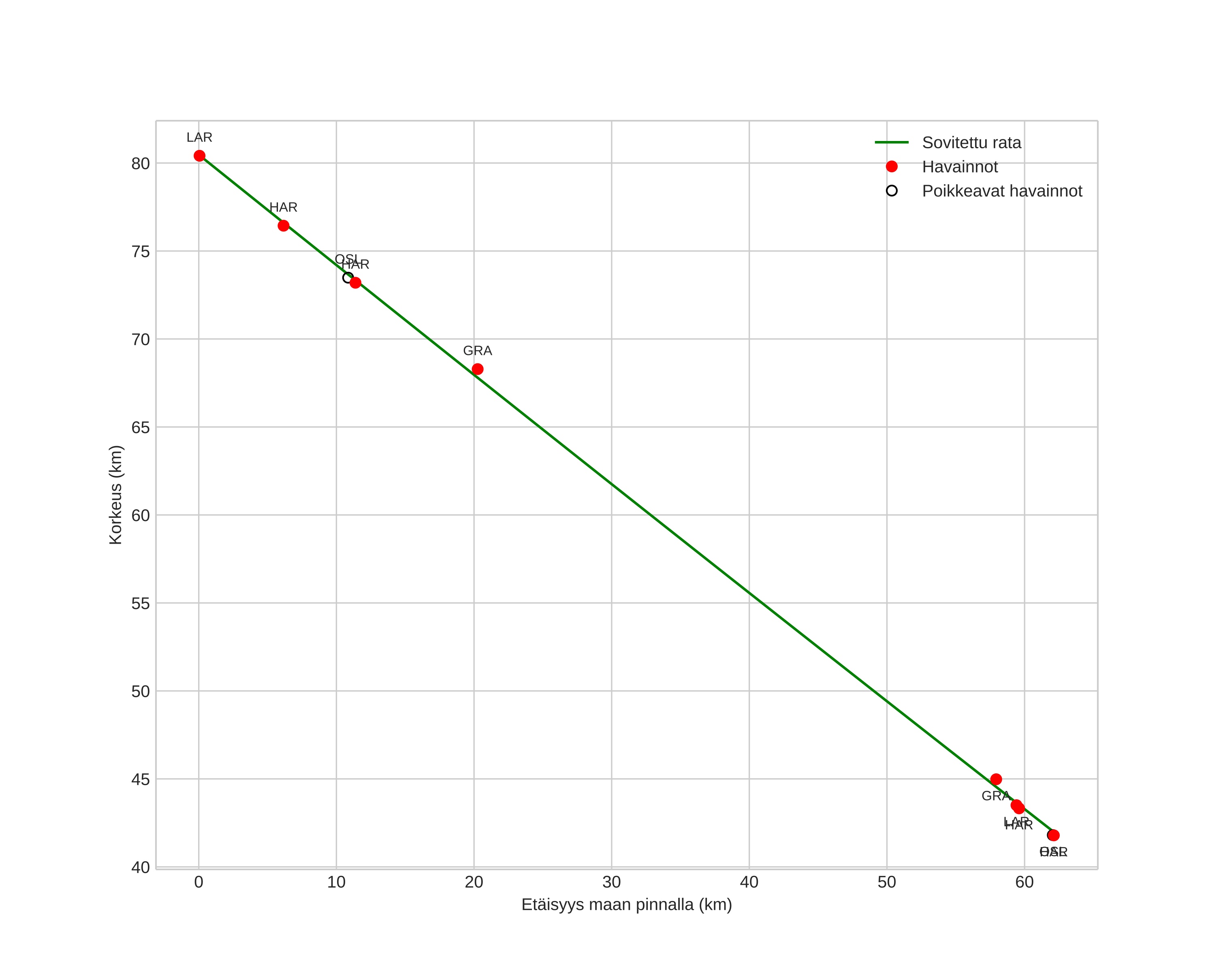
height profile
Meteorin ilmakehärata:
Alkukorkeus: 74,5 km
Loppukorkeus: 40,6 km
Alkupiste: 60,562N 6,464E
Loppupiste: 60,415N 7,439E
Suunta: 106,7°
Kallistuskulma: 31,3°
Tulonopeus: 15,6 km/s
Radiantin R,A,: 15:41 (235,5°)
Radiantin Dekl,: 25,3°
Meteoriparvi: Sporadinen
Meteoroidin rataelementit:
Perihelietäisyys: 0,913 AU
Eksentrisyys: 0,377
Inklinaatio: 13,3°
Nousevan solmun pituus: 205,6°
Perihelin argumentti: 134,1°
Keskianomalia: 20,4°
Epookki: 2020 OCT 18 19:42:15
orbit plot

Ei-interaktiivinen kuvaaja | Interaktiivinen kuvaaja

position vs time
speed and acceleration