🇳🇴 🇬🇧 🇩🇪 🇨🇿 🇫🇮

Meteor, poloha: Malung 2020-10-19 22:14:09 UTC

Soubor KML  |  InteraktivnĂ­ mapa

Mapa zobrazuje dráhy meteoru. Světlejší čáry ukazují směry od pozorovacích stanic při objevení se meteoru a tmavší čáry, kde byl naposledy viděn. Modrá šipka značí viditelnou dráhu meteoru.

static map
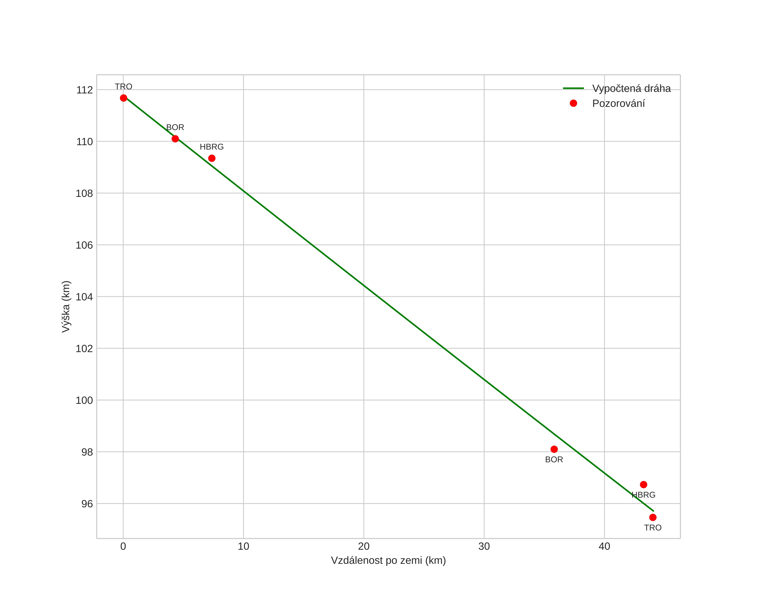
height profile
Atmosférická dráha meteoru:
Počáteční výška: 111,8 km
Konečná výška: 95,7 km
Počáteční poloha: 61,079N 14,331E
Konečná poloha: 61,091N 13,511E
Směr: 272,0°
Sklon: 20,1°
VstupnĂ­ rychlost: 68,3 km/s
Rektascenze radiantu: 06:19 (94,8°)
Deklinace radiantu: 16,1°
MeteorickĂ˝ roj: Orionidy
Elementy dráhy meteoroidu:
Vzdálenost v periheliu: 0,617 AU
Excentricita: 0,969
Sklon dráhy: 165,0°
Délka vzestupného uzlu: 26,7°
Argument perihelia: 76,8°
Střední anomálie: 359,6°
Epocha: 2020 OCT 19 22:14:09
orbit plot

NeinteraktivnĂ­ graf | InteraktivnĂ­ graf

position vs time
speed and acceleration