🇳🇴 🇬🇧 🇩🇪 🇨🇿 🇫🇮

Meteor Malungin yllä 2020-10-19 22:14:09 UTC

KML-tiedosto  |  Interaktiivinen kartta

Kartta näyttää meteorin suuntahavainnot. Vaaleammat viivat näyttävät suunnat havaintoasemilta meteorin ilmestyessä, ja tummemmat viivat näyttävät, missä se viimeksi nähtiin. Sininen nuoli näyttää meteorin näkyvän lennon.

static map
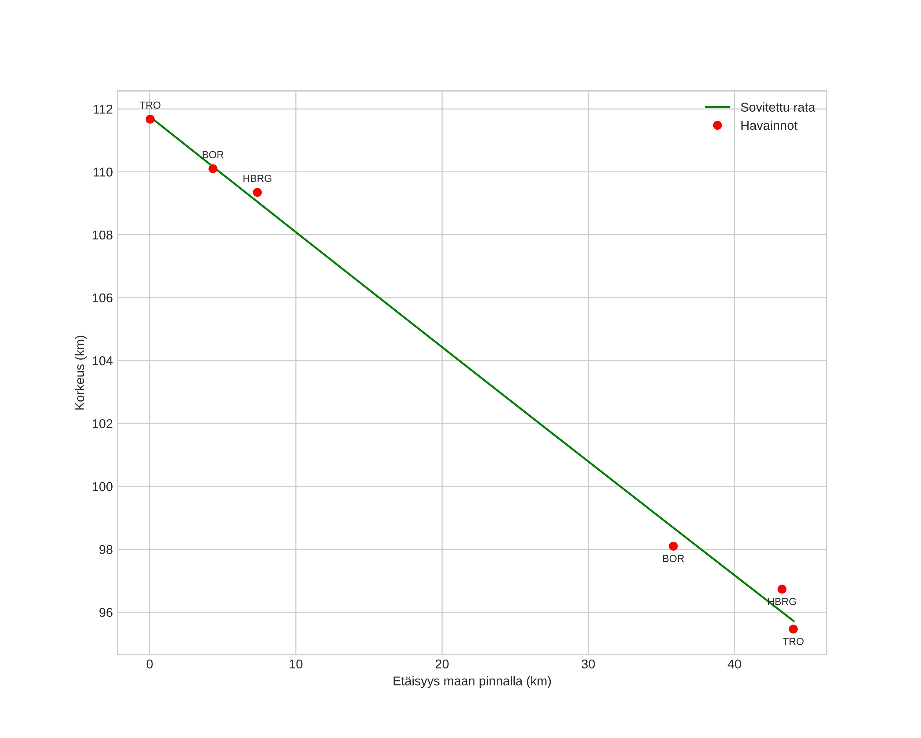
height profile
Meteorin ilmakehärata:
Alkukorkeus: 111,8 km
Loppukorkeus: 95,7 km
Alkupiste: 61,079N 14,331E
Loppupiste: 61,091N 13,511E
Suunta: 272,0°
Kallistuskulma: 20,1°
Tulonopeus: 68,3 km/s
Radiantin R,A,: 06:19 (94,8°)
Radiantin Dekl,: 16,1°
Meteoriparvi: Orionidit
Meteoroidin rataelementit:
Perihelietäisyys: 0,617 AU
Eksentrisyys: 0,969
Inklinaatio: 165,0°
Nousevan solmun pituus: 26,7°
Perihelin argumentti: 76,8°
Keskianomalia: 359,6°
Epookki: 2020 OCT 19 22:14:09
orbit plot

Ei-interaktiivinen kuvaaja | Interaktiivinen kuvaaja

position vs time
speed and acceleration