🇳🇴 🇬🇧 🇩🇪 🇨🇿 🇫🇮

Meteor, poloha: Falkhytta 2020-10-19 23:25:07 UTC

Soubor KML  |  InteraktivnĂ­ mapa

Mapa zobrazuje dráhy meteoru. Světlejší čáry ukazují směry od pozorovacích stanic při objevení se meteoru a tmavší čáry, kde byl naposledy viděn. Modrá šipka značí viditelnou dráhu meteoru.

static map
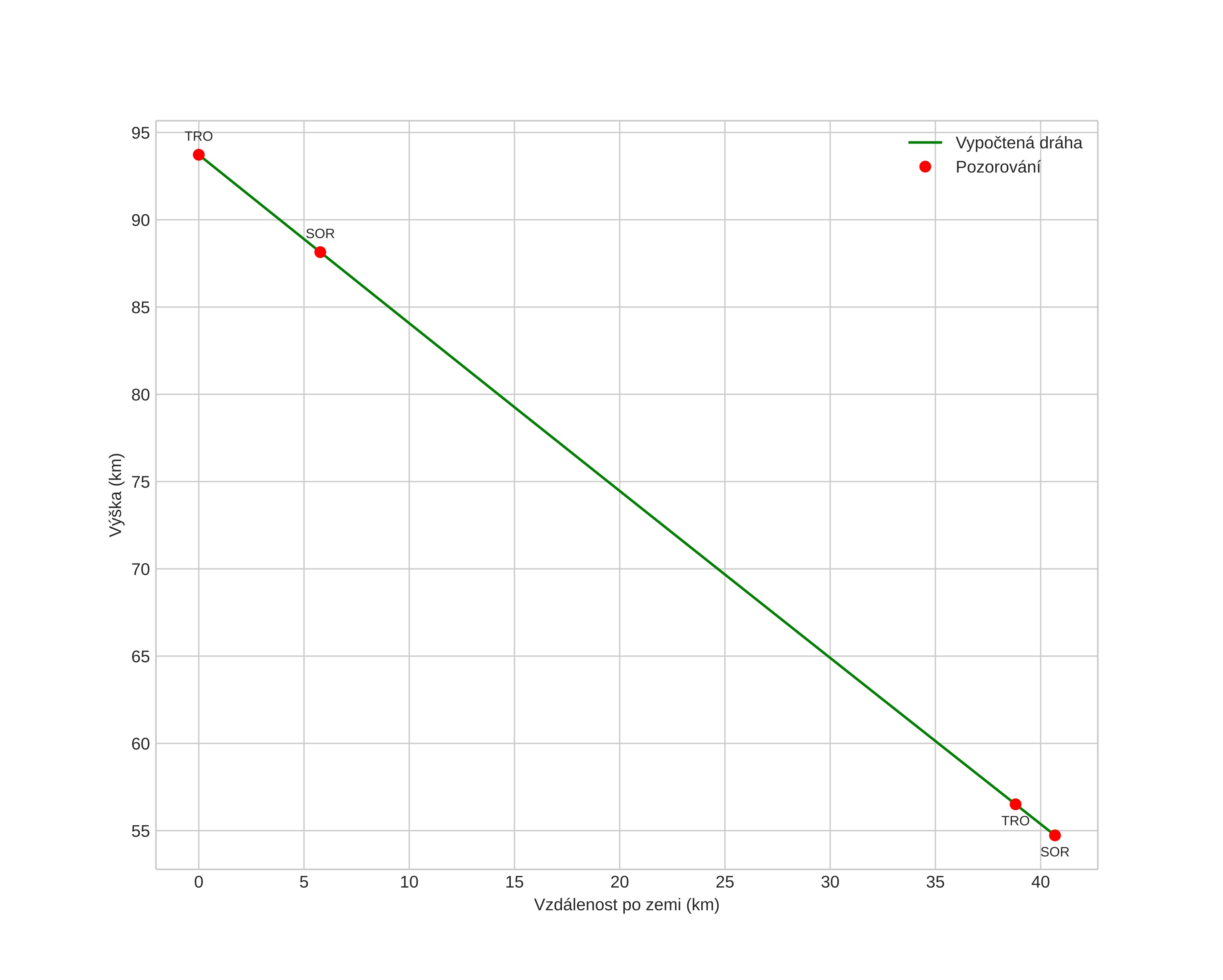
height profile
Atmosférická dráha meteoru:
Počáteční výška: 94,1 km
Konečná výška: 58,2 km
Počáteční poloha: 66,775N 5,460E
Konečná poloha: 67,106N 5,106E
Směr: 337,4°
Sklon: 42,0°
VstupnĂ­ rychlost: 37,5 km/s
Rektascenze radiantu: 02:51 (42,9°)
Deklinace radiantu: 18,9°
MeteorickĂ˝ roj: sporadickĂ˝
Elementy dráhy meteoroidu:
Vzdálenost v periheliu: 0,190 AU
Excentricita: 0,939
Sklon dráhy: 4,6°
Délka vzestupného uzlu: 206,7°
Argument perihelia: 312,1°
Střední anomálie: 353,6°
Epocha: 2020 OCT 19 23:25:07
orbit plot

NeinteraktivnĂ­ graf | InteraktivnĂ­ graf

position vs time
speed and acceleration