🇳🇴 🇬🇧 🇩🇪 🇨🇿 🇫🇮

Meteor Falkhyttan yllä 2020-10-19 23:25:07 UTC

KML-tiedosto  |  Interaktiivinen kartta

Kartta näyttää meteorin suuntahavainnot. Vaaleammat viivat näyttävät suunnat havaintoasemilta meteorin ilmestyessä, ja tummemmat viivat näyttävät, missä se viimeksi nähtiin. Sininen nuoli näyttää meteorin näkyvän lennon.

static map
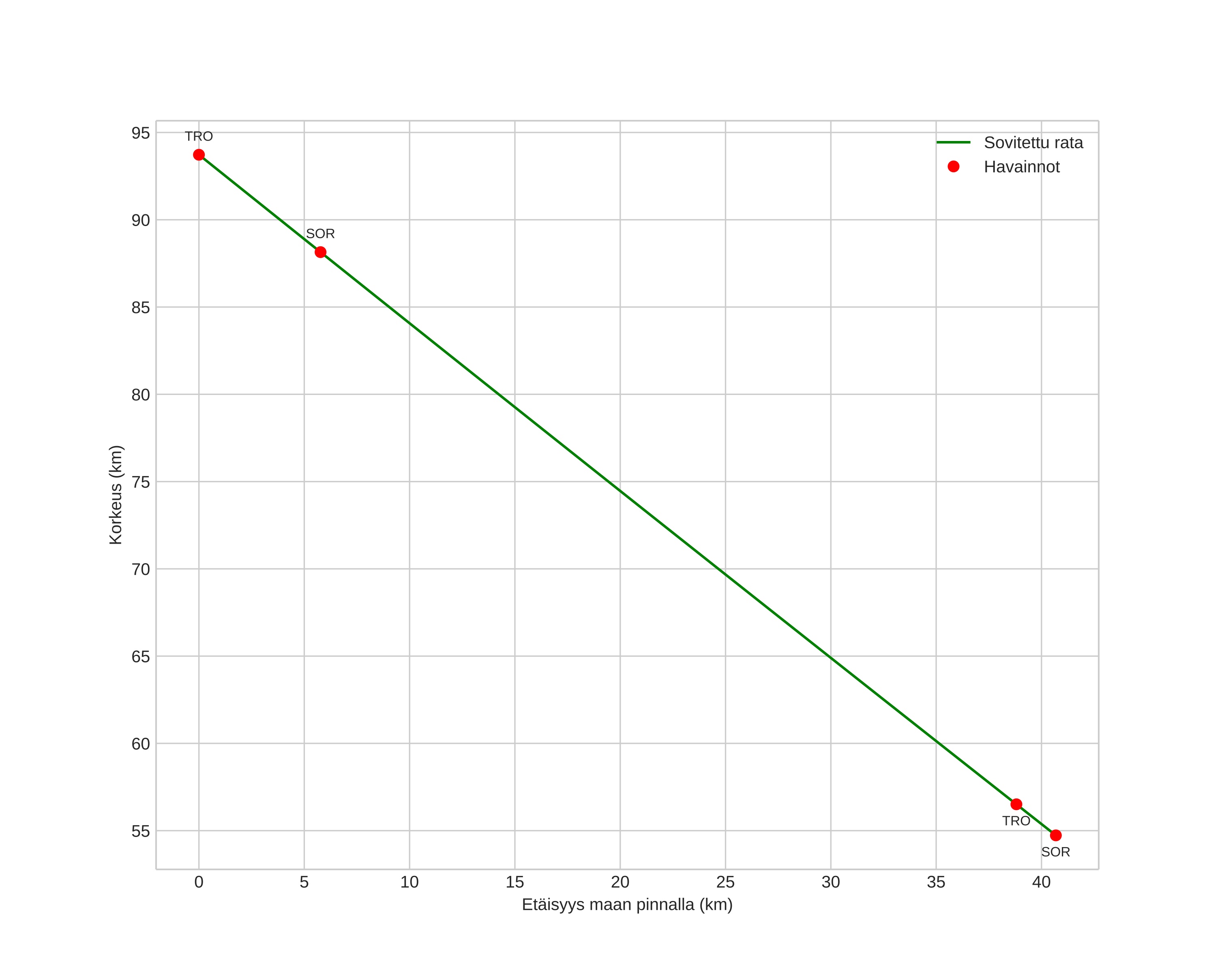
height profile
Meteorin ilmakehärata:
Alkukorkeus: 94,1 km
Loppukorkeus: 58,2 km
Alkupiste: 66,775N 5,460E
Loppupiste: 67,106N 5,106E
Suunta: 337,4°
Kallistuskulma: 42,0°
Tulonopeus: 37,5 km/s
Radiantin R,A,: 02:51 (42,9°)
Radiantin Dekl,: 18,9°
Meteoriparvi: Sporadinen
Meteoroidin rataelementit:
Perihelietäisyys: 0,190 AU
Eksentrisyys: 0,939
Inklinaatio: 4,6°
Nousevan solmun pituus: 206,7°
Perihelin argumentti: 312,1°
Keskianomalia: 353,6°
Epookki: 2020 OCT 19 23:25:07
orbit plot

Ei-interaktiivinen kuvaaja | Interaktiivinen kuvaaja

position vs time
speed and acceleration