🇳🇴 🇬🇧 🇩🇪 🇨🇿 🇫🇮

Meteor, poloha: Teigebyen 2020-10-25 23:24:09 UTC

Soubor KML  |  InteraktivnĂ­ mapa

Mapa zobrazuje dráhy meteoru. Světlejší čáry ukazují směry od pozorovacích stanic při objevení se meteoru a tmavší čáry, kde byl naposledy viděn. Modrá šipka značí viditelnou dráhu meteoru.

static map
height profile
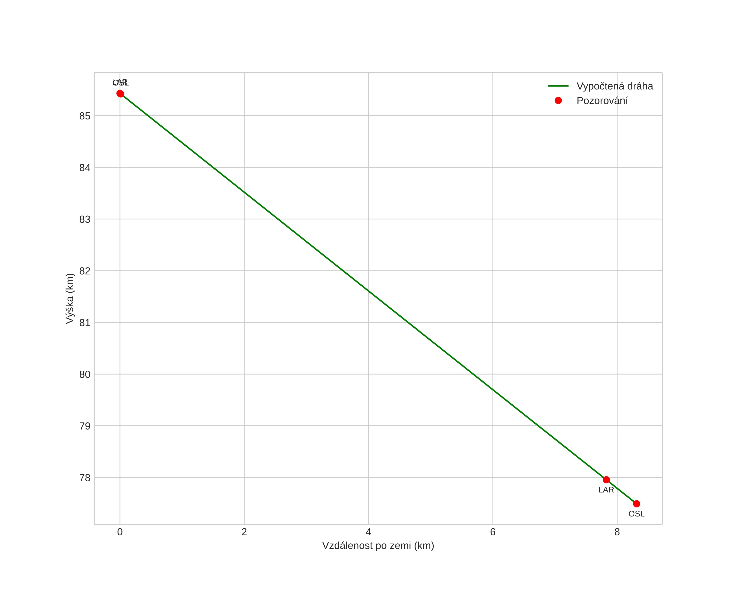
Atmosférická dráha meteoru:
Počáteční výška: 88,4 km
Konečná výška: 77,5 km
Počáteční poloha: 60,146N 10,852E
Konečná poloha: 60,168N 11,039E
Směr: 76,6°
Sklon: 45,6°
VstupnĂ­ rychlost: 18,6 km/s
Rektascenze radiantu: 22:35 (338,8°)
Deklinace radiantu: 28,0°
MeteorickĂ˝ roj: sporadickĂ˝
Elementy dráhy meteoroidu:
Vzdálenost v periheliu: 0,925 AU
Excentricita: 0,831
Sklon dráhy: 12,5°
Délka vzestupného uzlu: 212,7°
Argument perihelia: 212,2°
Střední anomálie: 358,3°
Epocha: 2020 OCT 25 23:24:09
orbit plot

NeinteraktivnĂ­ graf | InteraktivnĂ­ graf

position vs time
speed and acceleration